М
Молодежь
К
Компьютеры-и-электроника
Д
Дом-и-сад
С
Стиль-и-уход-за-собой
П
Праздники-и-традиции
Т
Транспорт
П
Путешествия
С
Семейная-жизнь
Ф
Философия-и-религия
Б
Без категории
М
Мир-работы
Х
Хобби-и-рукоделие
И
Искусство-и-развлечения
В
Взаимоотношения
З
Здоровье
К
Кулинария-и-гостеприимство
Ф
Финансы-и-бизнес
П
Питомцы-и-животные
О
Образование
О
Образование-и-коммуникации
COCOBAKUOFFICI
COCOBAKUOFFICI
27.08.2020 11:19 •  Математика

Зависимость цены р от выпуска продукции х имеет вид: р = 32 ‒ 0,2x. функция издержек имеет вид: f(x)=0,01x3. прибыль от реализации продукции определяется как разность между выручкой рх и издержками f(x). найти значение выпуска, при котором прибыль будет наибольшей, если: а) 20 ≤ х ≤ 50; б) 34 ≤ х ≤ 40.

👇
Ответ:
ibatullinazuhra
ibatullinazuhra
27.08.2020
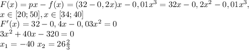
F(x)=px-f(x)=(32-0,2x)x-0,01x^3=32x-0,2x^2-0,01x^3, \\ x \in [20;50], x \in [34;40] \\
F'(x)=32-0,4x-0,03x^2=0 \\
3x^2+40x-320=0 \\
x_1=-40 \ x_2=26 \frac{2}{3}
              +            -                  -               -                 F'(x)
|---------|-----------|------------|--------------|-------------|--------->x
0     20   ↑   26 2/3   ↓   34     ↓     40     ↓    50      F(x) 
                    max
ответ: а) 26 2/3; б) 34.
4,5(24 оценок)
Открыть все ответы
Ответ:
kaba4ok2001
kaba4ok2001
27.08.2020
я знаю только стих 
Не смейте забывать учителей.
Они о нас тревожатся и помнят.
И в тишине задумавшихся комнат
Ждут наших возвращений и вестей.
Им не хватает этих встреч нечастых.
И, сколько бы ни миновало лет,
Случается учительское счастье
Из наших ученических побед.
А мы порой так равнодушны к ним:
Под Новый Год не шлём им поздравлений.
А в суете иль попросту из лени
Не пишем, не заходим, не звоним.
Они нас ждут. Они следят за нами
И радуются всякий раз за тех,
Кто снова где-то выдержал экзамен
На мужество, на честность, на успех.
Не смейте забывать учителей.
Пусть будет жизнь достойна их усилий.
Учителями славится Россия.
Ученики приносят славу ей.
Не смейте забывать учителей!
4,7(31 оценок)
Ответ:
olga000064
olga000064
27.08.2020
Декоративно-прикладное искусство — широкий раздел изобразительного искусства, который охватывает различные отрасли творческой деятельности, направленной на создание художественных изделий с утилитарными и художественными функциями.
Шитьё-создание на материале стежков и швов при иглы и ниток, лески и т.п.Представляет собой создание на материале (ткани, коже) стежков и швов при иглы и ниток, лески и т. п. Одно из древнейших технологий производства, возникшее ещё в каменном веке. До изобретения пряжи и тканных материалов одежда шилась из меха и шкур добытых животных с игл из кости или рогов и «нитей» из сухожилий, вен или кишок животных.Тысячелетиями шитьё было исключительно ручной работой.Изобретение швейной машины в XIX веке и компьютеризация во второй половине XX века привели к массовому промышленному производству швейных изделий, но шитьё вручную по-прежнему широко практикуется во всем мире.
4,5(50 оценок)
Это интересно:
Новые ответы от MOGZ: Математика
logo
Вход Регистрация
Что ты хочешь узнать?
Спроси Mozg
Открыть лучший ответ