М
Молодежь
К
Компьютеры-и-электроника
Д
Дом-и-сад
С
Стиль-и-уход-за-собой
П
Праздники-и-традиции
Т
Транспорт
П
Путешествия
С
Семейная-жизнь
Ф
Философия-и-религия
Б
Без категории
М
Мир-работы
Х
Хобби-и-рукоделие
И
Искусство-и-развлечения
В
Взаимоотношения
З
Здоровье
К
Кулинария-и-гостеприимство
Ф
Финансы-и-бизнес
П
Питомцы-и-животные
О
Образование
О
Образование-и-коммуникации
Крайз
Крайз
19.05.2021 17:04 •  Математика

Вусеченном конусе боковая поверхность равно 360пи см в квадрате площадь сечеия равна 288 см в квадрате. найти объем усиченного конуса если высота равно 16 см. !

👇
Ответ:
SobolVitalik
SobolVitalik
19.05.2021
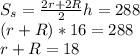
В осевом сечении усеченного конуса находится равнобедренная трапеция:
S_s=\frac{2r+2R}{2}h=288\\(r+R)*16=288\\r+R=18
S_b=\pi(R+r)l=360\pi\\(R+r)l=360\\l=\frac{360}{R+r}=\frac{360}{18}=20
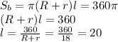
Теперь разбираемся с радиусами:Найдем разницу радиусов из сечения.
Треугольник CHD-египетский(отношение сторон 3:4:5) =>DH=12
Составляем систему:
\begin{cases}R+r=18\\+\\R-r=12\end{cases}\\2R=30\\R=15\\15+r=18\\r=3
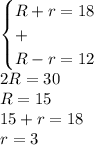
Ну а теперь объем.
V=\frac{1}{3}\pi h(R^2+R*r+r^2)=\frac{1}{3}\pi*16(225+45+9)=1488\pi

Вусеченном конусе боковая поверхность равно 360пи см в квадрате площадь сечеия равна 288 см в квадра
4,6(83 оценок)
Открыть все ответы
Ответ:
blubondovro0a
blubondovro0a
19.05.2021

1) Испытание состоит в том, что из  n=12+18=30 конфет вынимают одну.

Число исходов испытания n=30

Событие А  - " вынута белая конфета"

m=12  конфет ( белых) благоприятствует наступлению события А

р(А)=m/n=12/30=4/10=0,4

2) n=33

m=10

p=m/n=10/33

3) n=5

m=1 ( Джеймс Бонд)

р=m/n=1/5

4) n=11 ( букв в словосочетании ДАННОЕ СЛОВО)

Представим себе что буквы написаны на карточках, т.е у нас 11 карточек.

а) гласных m=4

р=m/n=4/11- вероятность выбрать гласную  букву

б) согласных  m=7

p=7/11 - вероятность выбрать согласную  букву

в)m=0 ( все буквы расположены раньше буквы О)

p=0

5) n= количеству учеников в классе

а) p=1/n ;  б) p=(n-1)/n

в) m=количеству девочек в классе  р=m/n ;г) (n-m)  мальчиков в классе; р=(n-m)/n;

д) k= отличников в вклассе; р=k/n е) q - двоечников в классе; p=q/n

ж) p=0

6 Вероятность выбрать мальчика, не выучившего домашнее задание,

p=7/20

Вероятность выбрать девочку, не выучившую домашнее задание,

p=10/13

10/13  > 7/10

Лучше вызвать девочку.

4,5(13 оценок)
Ответ:
Theonly1385894
Theonly1385894
19.05.2021
1. СЧИТАЕШЬ ЛИ ТЫ,ЧТО В КОЛЛЕДЖЕ УЧАТСЯ ТОЛЬКО ТЕ,КТО НЕ СМОГ ОСИЛИТЬ ПРОГРАММУ 10-11 КЛАССОВ,ТО ЕСТЬ НЕ СЛИШКОМ УСПЕВАВШИЕ УЧЕНИКИ ШКОЛ?
-НЕТ,Я ТАК НЕ СЧИТАЮ. КОНЕЧНО,БЫВАЮТ И ТАКИЕ СТУДЕНТЫ,НО БОЛЬШИНСТВО ИДЁТ ДЛЯ ТОГО,ЧТОБЫ ПОБЫСТРЕЕ ПОЛУЧИТЬ РЕАЛЬНУЮ ПРОФЕССИЮ.
2.СЧИТАЕШЬ ЛИ ТЫ,ЧТО ПРЕПОДАВАТЕЛИ В КОЛЛЕДЖЕ НИЖЕ ПО УРОВНЮ ПРЕПОДАВАТЕЛЕЙ ВЫСШИХ УЧЕБНЫХ ЗАВЕДЕНИЙ?
-НЕТ,Я ТАК НЕ СЧИТАЮ.У ПРЕПОДАВАТЕЛЕЙ ЛЮБЫХ УЧЕБНЫХ ЗАВЕДЕНИЙ СООТВЕТСТВУЮЩИЙ УРОВЕНЬ.
3.СЧИТАЕШЬ ЛИ ТЫ,ЧТО ПОСЛЕ УЧЁБЫ В КОЛЛЕДЖЕ ЛЕГЧЕ ПОСТУПИТЬ В ВЫСШЕЕ УЧЕБНОЕ ЗАВЕДЕНИЕ?
-ДА,Я ТАК СЧИТАЮ.
СТУДЕНТЫ,ОКОНЧИВШИЕ КОЛЛЕДЖ,УЖЕ ЗНАЮТ И ОРИЕНТИРУЮТСЯ В СВОЕЙ ПРОФЕССИИ,ИМ ЛЕГЧЕ ПОСТУПИТЬ И УЧИТЬСЯ В ВЫСШЕМ УЧЕБНОМ ЗАВЕДЕНИИ.
4,5(47 оценок)
Это интересно:
Новые ответы от MOGZ: Математика
logo
Вход Регистрация
Что ты хочешь узнать?
Спроси Mozg
Открыть лучший ответ