М
Молодежь
К
Компьютеры-и-электроника
Д
Дом-и-сад
С
Стиль-и-уход-за-собой
П
Праздники-и-традиции
Т
Транспорт
П
Путешествия
С
Семейная-жизнь
Ф
Философия-и-религия
Б
Без категории
М
Мир-работы
Х
Хобби-и-рукоделие
И
Искусство-и-развлечения
В
Взаимоотношения
З
Здоровье
К
Кулинария-и-гостеприимство
Ф
Финансы-и-бизнес
П
Питомцы-и-животные
О
Образование
О
Образование-и-коммуникации
daniiltkachuk1p02aol
daniiltkachuk1p02aol
31.12.2022 00:31 •  Математика

Вычислить производную: y=3x-7/x^2+2

👇
Ответ:
mihscka0605
mihscka0605
31.12.2022
Y'=3×(x^2+2)-(3x-7)2x/(x^2+2)^2=3x^2+6-6x^2-14x/(x^2+2)^2=-3x^2-14x+6/(x^2+2)^2
4,6(76 оценок)
Ответ:
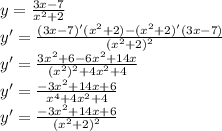
y= \frac{3x-7}{ x^{2}+2 } \\y'= \frac{{(3x-7})'( x^{2} +2)-( x^{2} +2)'{(3x-7})}{( x^{2} +2)^{2} }\\y'=\frac{3x^{2} +6-6x^{2}+14x}{(x^{2})^{2}+4 x^{2} +4 }\\y'= \frac{-3 x^{2} +14x+6}{ x^{4}+4 x^{2} +4 }\\y'=\frac{-3 x^{2} +14x+6}{(x^{2}+2)^2 }
4,7(42 оценок)
Открыть все ответы
Ответ:
Frolinng
Frolinng
31.12.2022
Считаем количество цифр в этих числах:
однозначные числа - 9 цифр
двузначные числа - с 10 до 60,всего 60-10+1=51 число
2*51=102 цифры

Итого:9+102=111 цифр

Вычеркнуть нужно 100,значит,останется 111-100=11 цифр.
Число 11-дцатизначное  ** *** *** ***.

Наибольшим оно может получиться,если все 11 цифр будут девятками : 99 999 999 999.

Пробуем оставить как можно больше девяток в начале числа.
От 1 до 9 одна девятка,вычёркиваем первые 8 цифр,оставляем 9.
9
Во втором десятке оставляем 9 от 19,в третьем 9 от 29,в четвёртом 9 от 39,в пятом 9 от 49.
Итого пять девяток в начале числа.

Оставшиеся числа выглядят так : 9 9 9 9 9 50 51 52 53 54 55 56 57 58 59 60.

Пять девяток есть,число 11-значное,нужно оставить ещё 6 цифр.

а) если шестой цифрой взять 9 из 59,то ещё можно будут выбрать две цифры 960,а нам нужно 6 цифр,не подходит
б) 8 из 58 не подходит,так как получится 85960 -5 цифр,вместо нужных шести.
в) 7 из 57 подходит,оставляем 785960 - цифр в конце,остальные перед 7 в числе 57 вычёркиваем.

Итак,получаем

99 999 785 960 - искомое число

 (© ТатМих,сайт "Школьные Знания")
4,4(6 оценок)
Ответ:
nicitama228800
nicitama228800
31.12.2022
       Неправильная дробь - это дробь, в которой числитель больше знаменателя или равен ему.
 Чтобы записать смешанное число в виде неправильной дроби, нужно:
1. Умножить целую часть смешанного числа на знаменатель его дробной части.
2, К полученному произведению прибавить числитель дробной части.
3. Записать полученную сумму числителем дроби, а знаменатель дробной части оставить прежним. 

3 целых 1/2 = 7/2
3 * 2 + 1 = 7 - числитель; 2 - знаменатель

5 целых 2/3 = 17/3
5 * 3 + 2 = 17 - числитель; 3 - знаменатель

4 целых 3/7 = 31/7
4 * 7 + 3 = 31 - числитель; 7 - знаменатель

2  целых 9/10 = 29/10
2 * 10 + 9 = 29 - числитель; 10 - знаменатель
4,5(84 оценок)
Новые ответы от MOGZ: Математика
logo
Вход Регистрация
Что ты хочешь узнать?
Спроси Mozg
Открыть лучший ответ