М
Молодежь
К
Компьютеры-и-электроника
Д
Дом-и-сад
С
Стиль-и-уход-за-собой
П
Праздники-и-традиции
Т
Транспорт
П
Путешествия
С
Семейная-жизнь
Ф
Философия-и-религия
Б
Без категории
М
Мир-работы
Х
Хобби-и-рукоделие
И
Искусство-и-развлечения
В
Взаимоотношения
З
Здоровье
К
Кулинария-и-гостеприимство
Ф
Финансы-и-бизнес
П
Питомцы-и-животные
О
Образование
О
Образование-и-коммуникации
Mozgi1706
Mozgi1706
10.10.2020 16:50 •  Математика

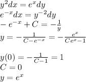
Y^2dx=e^xdy,y(0)=1. дифференциальное уравнение 1 порядка, решить и найти частные решения

👇
Ответ:
geometriya3
geometriya3
10.10.2020
y^2dx=e^xdy\\e^{-x}dx=y^{-2}dy\\-e^{-x} + C = -{1\over y}\\y=-{1\over C-e^{-x}}=-{e^x\over Ce^x-1}\\\\y(0)=-{1\over C-1}=1\\C=0\\y=e^x
4,4(42 оценок)
Открыть все ответы
Ответ:
huesosoff2016
huesosoff2016
10.10.2020
Точка О - пересечение биссектрис углов А и В. Сумма углов А и В -180 градусов.
Значит АОВ  -прямоугольный треугольник.
Его высота радиус, вписанной в трапецию окружности.. Квадрат боковой стороны по теореме Пифагора 1+9=10
sqrt(10) *r=3*1 (произведение высоты на гипотенузу равно произведению катетов)  r=3/sqrt(10)
Квадрат половины большего основания : 9-0,9=8,1 (по теореме Пифагора).  Большее основание=6/sqrt(10)
  Точно также меньшее основание 2/sqrt(10)
Площадь трапеции (3+1)*6/10=2,4  (высота  равна двум радиусам , ее надо умножить на полусумму оснований)
4,4(31 оценок)
Ответ:
zagidsadikov
zagidsadikov
10.10.2020

В подъезде Саши 15 квартир, Саша живёт на 2 этаже, в доме 45 квартир

Пошаговое объяснение:

Если в каждом этаже подъезда по 3 квартиры, а дом пятиэтажный, значит, чтобы узнать количество квартир в подъезде, нужно 5 умножить на 3, и будет 15.

Чтобы узнать, на каком этаже живёт Саша, нужно номер квартиры - 6 разделить на количество квартир на одном этаже - 2. Значит, 6:3=2. Саша живёт на 2 этаже

Если подъезда 3, а в одном подъезде 15 квартир, значит, чтобы узнать, сколько всего квартир в доме, нужно умножить 3 на 15 = 45.

4,8(27 оценок)
Новые ответы от MOGZ: Математика
logo
Вход Регистрация
Что ты хочешь узнать?
Спроси Mozg
Открыть лучший ответ