М
Молодежь
К
Компьютеры-и-электроника
Д
Дом-и-сад
С
Стиль-и-уход-за-собой
П
Праздники-и-традиции
Т
Транспорт
П
Путешествия
С
Семейная-жизнь
Ф
Философия-и-религия
Б
Без категории
М
Мир-работы
Х
Хобби-и-рукоделие
И
Искусство-и-развлечения
В
Взаимоотношения
З
Здоровье
К
Кулинария-и-гостеприимство
Ф
Финансы-и-бизнес
П
Питомцы-и-животные
О
Образование
О
Образование-и-коммуникации
timca2014
timca2014
30.10.2021 03:21 •  Математика

1. integral x^2/x^6-1 dx 2. integral 1/ cos^2x (3-2tg x) dx 3. integral sin 2x/1+ cos^2x dx

👇
Ответ:
Shynar958
Shynar958
30.10.2021
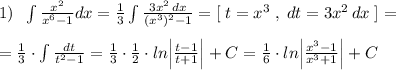
1)\; \; \int \frac{x^2}{x^6-1}dx=\frac{1}{3}\int \frac{3x^2\, dx}{(x^3)^2-1} =[\; t=x^3\; ,\; dt=3x^2\, dx\; ]=\\\\= \frac{1}{3}\cdot \int \frac{dt}{t^2-1} = \frac{1}{3} \cdot \frac{1}{2} \cdot ln\Big | \frac{t-1}{t+1} \Big |+C= \frac{1}{6} \cdot ln\Big | \frac{x^3-1}{x^3+1} \Big |+C

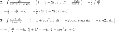
2)\; \; \int \frac{dx}{cos^2x(3-2tgx)} =[\; t=3-2tgx\; ,\; dt=\frac{-2\, dx}{cos^2x}\; ]=-\frac{1}{2}\int \frac{dt}{t} =\\\\=-\frac{1}{2}\cdot ln|t|+C=- \frac{1}{2} \cdot ln|3-2tgx|+C\\\\3)\; \; \int \frac{sin2x\, dx}{1+cos^2x} =[\; t=1+cos^2x\; ,\; dt=-2cosx\, sinx\, dx=-sin2x\, dx\; ]=\\\\=-\int \frac{dt}{t} =-ln|t|+C=-ln|1+cos^2x|+C
4,4(8 оценок)
Открыть все ответы
Ответ:
Sghem
Sghem
30.10.2021
Так как сегодня на 100 т. можно купить на 7 пряников меньше и на 4 пирожных больше, а вчера бы этой суммы не хватило, то очевидно, что цена на пряники выросла на 1 т., а цена на пирожные упала на 1 т.

х - цена пряника, у - цена пирожного,
Со сдачей - не ясно, но очевидно, что суммарная стоимость покупок должна быть около 100 т., поэтому будем ориентироваться на эту цифру.

{ 9х + 7у = 100
{ 2(х + 1) + 11*(y - 1) = 100

9x + 7y = 2(x + 1) + 11(y - 1)
7x - 4y = -9
x = (4y - 9)/7

(9*(4у - 9) + 49y)/7 = 100
85y - 81 = 7*100 
12,14y - 11,57 = 100
12,14y = 111,57
y = 111,57 : 12,14
y ≈ 9                       x = (4y - 9)/7 ≈ 4

Таким образом, вчера расходы составили:
          9*4 + 7*9 = 36 + 63 = 99 (т.)   - 1 т. сдача
Сегодня расходы составили:
          2*(4+1) + 11*(9-1) = 10 + 88 = 98 (т.)  -  2 т. сдача
Ну и, понятное дело, что 100 т. на покупку по вчерашним ценам двух пряников и 11 пирожных не хватило бы, так как:
          2*4 + 11*9 = 107 (т.)

ответ: 1 пряник сегодня стоит 5 тугриков.    
4,6(50 оценок)
Ответ:
Ritochkа
Ritochkа
30.10.2021

Абай Кунанбаев - выдающийся поэт, мыслитель, просветитель-демократ, родоначальник новой казахской реалистической литературы.

Время Абая – сложное и неспокойное. Вековые патриархально-феодальные устои в степи стали расшатываться под натиском начавших проникать в аулы товарно-денежных отношений, усиливается феодальный и колониальный гнет; упразднение ханств и установление волостного правления усиливали борьбу за власть, вражду, принцип «разделяй и вла-ствуй» был в разгаре. И все же местн  ая и колониальная власти не смогли остановить развитие казахской прогрессивной общественной мысли и ху-дожественной литературы. Это время ознаменовалось становлением и дальнейшим развитием национальной реалистической литературы, основоположником которой явился Абай Кунанбаев. Две замечательные женщины – бабушка Зере и мать Улжан - воспитывали Ибрагима. Он рос пытливым, внимательным, впечатлительным, за что мать дала ему другое имя – Абай (что значит внимательный, проницательный).

Начальное образование Абай получил в родном ауле, затем девяти-летним был отдан в медресе – мусульманскую духовную школу в г. Семипалатинске. Религиозное схоластическое обучение не могло удовлетворить его, и он самовольно переходит в семипалатинскую русскую приходскую школу. Подобный поступок был своеобразным проявлением поисков само-стоятельного пути и начавшего формироваться личного достоинства юного Абая. К сожалению, сведений об этой школе и поре ученичества в ней Абая не осталось.ясный ум, гуманность, справедливость и любовь к народу — все эти замечательные качества Абая сделали его необычайно популярным человеком. К нему обращались за за советами люди, притесненные феодалами, чиновниками, люди, не находившие нигде справедливости, к нему шла мыслящая, восприимчивая молодежь, чтобы получить от него знания и по-учиться поэтическому мастерству.

Такая популярность Абая не нравилась противникам нового, русским чиновникам-колонизаторам, муллам, ненавидящим Абая за его демократические убеждения и просветительскую деятельность. На него сочиняли до-носы, называли «смутьяном среди народа», «неугомонным нарушителем обычаев, прав и установлений отцов и дедов». Дело кончилось тем, что, учинив обыск в ауле Абая, полиция запретила ему встречаться с русскими политическими ссыльными, над ним был установлен тайный надзор.

Все это причиняло Абаю душевную боль. К тому же на каждом шагу он сталкивался с отвратительными пороками действительности, социальным и нравственным угнетением.

Абая преследовали и личные несчастья. В 1896 году умер его талантливый, образованный сын Абдрахман, который учился в Петербурге и на которого Абай возлагал большие надежды. Смерть сына значительно подорвала здоровье поэта.

Затем на него обрушился еще один удар судьбы — смерть другого сына, талантливого поэта — Магауи. Этого Абай пережить не смог. Через 40 дней после смерти сына скончался и великий поэт.

Отношение к окружающей действительности и внутренний мир по-эта с наибольшей полнотой и непосредственностью выразились в его ли-рике. Поэзия Абая богата по содержанию: это стихотворения на социаль-но-политические темы, стихи сатирические, философские раздумья, пей-зажная лирика, стихи о любви, дружбе, поэзии, науке. Лирика Абая знако-мит нас с его раздумьями о смысле жизни, о счастье человека, с его нравственным идеалом.

Поэзия Абая — это громадный шаг казахской литературы к реалистическому изображению жизни. В поэзии Абая нашли отражение разно-образные картины народной жизни, бескрайние просторы степей, жизнь и быт казахского аула, летние кочевья, подготовка к зиме, соколиная охота. Здесь и внутренний мир людей разных поколений, разные характеры. Абай любил свой народ, ему было дорого все, чем он жил, к чему стремился.

В пору своего творческого расцвета Абай создает ряд лирических произведений огромной социальной и художественной значимости, свиде-тельствующих об углублении и развитии реализма в его творчестве. В них казахская степь предстает перед читателями в своем величии и в самом ее разнообразном виде, в светлых и мрачных тонах. Примерами могут слу-жить стихи о временах года: «Весна», «Лето», «Осень», «Ноябрь - пред-дверие зимы...», «Зима», которые являются непревзойденными образцами не только пейзажной лирики, но и страстной гражданской, подлинно реалистической поэзии.

Цикл стихов Абая о временах года принадлежит к числу наиболее проникновенных созданий абаевской поэзии. Впервые в истории казахской литературы степь предстала во всем ее разнообразии, впервые картины природы стали отражением сложной, полной глубоких социальных противоречий жизни казахского народа.

4,6(77 оценок)
Это интересно:
Новые ответы от MOGZ: Математика
logo
Вход Регистрация
Что ты хочешь узнать?
Спроси Mozg
Открыть лучший ответ