М
Молодежь
К
Компьютеры-и-электроника
Д
Дом-и-сад
С
Стиль-и-уход-за-собой
П
Праздники-и-традиции
Т
Транспорт
П
Путешествия
С
Семейная-жизнь
Ф
Философия-и-религия
Б
Без категории
М
Мир-работы
Х
Хобби-и-рукоделие
И
Искусство-и-развлечения
В
Взаимоотношения
З
Здоровье
К
Кулинария-и-гостеприимство
Ф
Финансы-и-бизнес
П
Питомцы-и-животные
О
Образование
О
Образование-и-коммуникации
aslanovrusik44
aslanovrusik44
28.02.2020 10:44 •  Математика

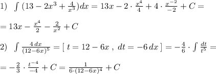
Интеграл (13-2х^3+4/х^3) dx; интеграл 4dx/(12-6x)^5

👇
Ответ:
kotodrotin
kotodrotin
28.02.2020
1)\; \; \int \; (13-2x^3+\frac{4}{x^3})dx =13x-2\cdot \frac{x^4}{4} +4\cdot \frac{x^{-2}}{-2}+C=\\\\=13x- \frac{x^4}{2} -\frac{2}{x^2}+C\\\\2)\; \; \int \frac{4\, dx}{(12-6x)^5} =[\; t=12-6x\; ,\; dt=-6\, dx\; ]=- \frac{4}{6} \cdot \int \frac{dt}{t^5} =\\\\= -\frac{2}{3}\cdot \frac{t^{-4}}{-4}+C= \frac{1}{6\cdot (12-6x)^4} +C
4,4(1 оценок)
Открыть все ответы
Ответ:
gallavich2004
gallavich2004
28.02.2020

белосне́жный→[б'илас'н'эжный']

В слове «белосне́жный»: слогов—4 (бе-ло-сне-жный), букв—11, звуков—11:

б→[б']:согласный, парный звонкий, парный мягкий

е→[и]:гласный

л→[л]:согласный, непарный звонкий, сонорный, парный твёрдый

о→[а]:гласный

с→[с']:согласный, парный глухой, парный мягкий

н→[н']:согласный, непарный звонкий, сонорный, парный мягкий

е→[э]:гласный

ж→[ж]:согласный, парный звонкий, непарный твёрдый

н→[н]:согласный, непарный звонкий, сонорный, парный твёрдый

ы→[ы]:гласный

й→[й']:согласный, непарный звонкий, сонорный, непарный мягкий

4,8(57 оценок)
Ответ:
Лера089
Лера089
28.02.2020
Ну ответ на все твои вопросы находится в 3 вопросе.
И так
1) )Докажите что произведение чётного числа на любое натуральное число является чётным числом.
Чётное число, которое делится на 2 без остатка и любое четное число можно представить как 2n, где n - где натуральное число
И нас просят доказать что произведение 2n на x, тоже четное число, где х - тоже натуральное число.
Доказательство:
Число вида 2*n*x делится на 2 так как в своем розложении содержит число 2.
Что и требовалось доказать


2)Докажите что сумма двух чётных чисел является чётным числом
Докакзательство
Пусть х=2*n и у=2*m, где n и m - натуральные числа
Тогда х+у= 2*n+2*m
Выносим 2 за скобки

х+у= 2*n+2*m=2*(n+m)
Как видим Х+У делится на 2 так как в своем разложении содержит число 2


3)Покажите что нечётные числа 21 23 43 можно записать в виде 2n+1 где n-натуральное число

21=2*N+1, где N=10
21=2*10+1

23=2*N+1, где N=11
23=11*2+1

43=2*N+1, где N=21
43=21*2+1
4,6(20 оценок)
Новые ответы от MOGZ: Математика
logo
Вход Регистрация
Что ты хочешь узнать?
Спроси Mozg
Открыть лучший ответ