М
Молодежь
К
Компьютеры-и-электроника
Д
Дом-и-сад
С
Стиль-и-уход-за-собой
П
Праздники-и-традиции
Т
Транспорт
П
Путешествия
С
Семейная-жизнь
Ф
Философия-и-религия
Б
Без категории
М
Мир-работы
Х
Хобби-и-рукоделие
И
Искусство-и-развлечения
В
Взаимоотношения
З
Здоровье
К
Кулинария-и-гостеприимство
Ф
Финансы-и-бизнес
П
Питомцы-и-животные
О
Образование
О
Образование-и-коммуникации
Romakot
Romakot
14.07.2020 05:29 •  Математика

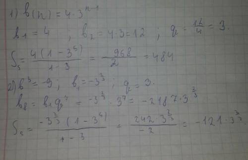
Решить ! 1) прогресія задана формулою n-го члена b(n)=4*3^n-1. знайдіть суму п'яти перших членів цієї прогресії. 2) знайдіть восьмий член і суму п'яти перших членів ї прогресії (bn), якщо b^3= - 9, q=3. 3) знайдіть градусну міру кута bad чотирикутника abcd, вписаного в коло, якщо уголabd=41град., уголacb=39град. с полным ответом.

👇
Ответ:
Bdof72005
Bdof72005
14.07.2020
Розв'язки на фото нижче: 
Решить ! 1) прогресія задана формулою n-го члена b(n)=4*3^n-1. знайдіть суму п'яти перших членів ціє
Решить ! 1) прогресія задана формулою n-го члена b(n)=4*3^n-1. знайдіть суму п'яти перших членів ціє
4,6(13 оценок)
Открыть все ответы
Ответ:
BlackGolsi
BlackGolsi
14.07.2020
Чтобы из целого числа вычесть обыкновенную дробь, нужно:
1)Представить целое число в виде обыкновенной дроби. (Чтобы целое число представить в виде обыкновенной дроби, нужно это число записать в числителе, а в знаменателе 1)
2) Привести две дроби к общему знаменателю. (то есть найти наименьший общий знаменатель (НОЗ)).
3) Произведите вычитание. чтобы из обыкновенной дроби вычесть обыкновенную дробь, нужно знаменатель оставить тем же, а числители вычесть.
4) Если нужно переводим в смешанную дробь(выделяем целую часть).
пример:
4 - \frac{3}{5} = \frac{4}{1} - \frac{3}{5} = \frac{20}{5} - \frac{3}{5} = \frac{17}{5} =3 \frac{2}{5}
4,7(55 оценок)
Ответ:
kamilamih
kamilamih
14.07.2020
Профилактические испытания трансформаторов производятся в соответствии с требованиями ПТЭ и Норм испытаний электрооборудования [2] при каждом текущем и капитальном ремонте. Текущий ремонт трансформаторов с устройствами РПН производится ежегодно, без РПН - 1 раз в два года для главных трансформаторов электростанций и подстанций и трансформаторов собственных нужд и 1 раз в 4 года для всех других. Профилактические испытания в основном сводятся к испытаниям изоляции и измерениям переходных сопротивлений контактов. Нормируемый объем испытаний трансформаторов приведен в табл. 5.
На практике применяются и другие виды испытаний. Если есть признаки ухудшения изоляции или предположения о ее ухудшении, профилактические испытания производятся в период между ремонтами. Результаты испытаний сравнивают с установленными нормами а также с ранее измеренными значениями.
Испытания изоляции являются основным элементом всяких профилактических испытаний. Изоляция подвергается тепловым, механическим и электрическим воздействиям. При этом ускоряется протекание химических процессов (окисление), изменяется структура изоляции, снижается механическая прочность, происходит расслоение. Особенно вредные воздействия на изоляцию трансформаторов оказывают увлажнение и загрязнение.
Влага проникает в глубь изоляции, создавая опасность электрического пробоя. Полностью избежать вредных воздействий практически невозможно. В результате изоляция стареет и в ней возникают общие, (равномерно распределенные) и местные (сосредоточенные) дефекты. Даже такое эффективное средство диагностики состояния трансформаторов, как хроматографический анализ растворенных в масле газов, не говоря уже о внешнем осмотре, не позволяет выявить всех возможных дефектов изоляции. Именно этим вызвана необходимость проведения профилактических испытаний с отключением трансформатора.
Рассмотрим основные виды профилактических испытаний изоляции трансформаторов.
Измерение сопротивления изоляции производится с мегаомметра и является одним из наиболее простых и распространенных видов испытаний. Оно может дать представление о среднем состоянии изоляции, при явных повреждениях указать на их наличие, а в некоторых случаях определить место дефекта.
4,5(45 оценок)
Новые ответы от MOGZ: Математика
logo
Вход Регистрация
Что ты хочешь узнать?
Спроси Mozg
Открыть лучший ответ