М
Молодежь
К
Компьютеры-и-электроника
Д
Дом-и-сад
С
Стиль-и-уход-за-собой
П
Праздники-и-традиции
Т
Транспорт
П
Путешествия
С
Семейная-жизнь
Ф
Философия-и-религия
Б
Без категории
М
Мир-работы
Х
Хобби-и-рукоделие
И
Искусство-и-развлечения
В
Взаимоотношения
З
Здоровье
К
Кулинария-и-гостеприимство
Ф
Финансы-и-бизнес
П
Питомцы-и-животные
О
Образование
О
Образование-и-коммуникации
ambarik
ambarik
24.10.2020 18:46 •  Математика

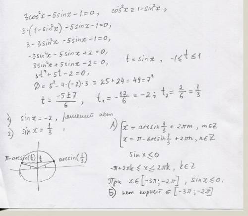
А)найдите корень уравнения 3cos^2x-5sinx-1=0. б)найдите все корни этого уравнения,принадлежащие промежутку [-3π; -2π]

👇
Ответ:
toster1336
toster1336
24.10.2020
Я решил на листочке...

А)найдите корень уравнения 3cos^2x-5sinx-1=0. б)найдите все корни этого уравнения,принадлежащие пром
4,4(21 оценок)
Открыть все ответы
Ответ:
kristavikown6tn
kristavikown6tn
24.10.2020
       4508                                                95760/7=13680
   *       39=                                              7        
     40572                                                25
+ 13524=                                                21
  175812                                                   47
                                                                 42
                                                                    56
                                                                     56
                                                                       0

                                                                       13680/30=456
                                                                       120
                                                                         168
                                                                         150
                                                                           180
                                                                            180
                                                                               0
4,5(97 оценок)
Ответ:
allornothing
allornothing
24.10.2020
Все три крана наполняют бассейн 1/8 + 1/12 + 1/20 его объема за час: или 15/120 + 10/120 + 6/120 = 31/120 в час, значит за 2 часа заполнилось: 2х31/120 = 62/120 объема бассейна., затем на час открыли выходное отверстие, все краны, при этом, были открыты:
62/120 + 31/120 - 1/30 = 93/120 - 4/120 = 89/120 - осталось через 3 часа. После закрытия 1-го и 2-го кранов бассейн заполнял только 3-й кран и работал слив, т.е. осталось заполнить 120/120 - 89/120 = 31/120.
1/20 - 1/30 = 1/60 (объема в час) - с такой скоростью стал заполняться бассейн, теперь найдем время, за которое он заполнился: 31/120 / 1/60 = 15,5 часов.
4,8(8 оценок)
Это интересно:
Новые ответы от MOGZ: Математика
logo
Вход Регистрация
Что ты хочешь узнать?
Спроси Mozg
Открыть лучший ответ