М
Молодежь
К
Компьютеры-и-электроника
Д
Дом-и-сад
С
Стиль-и-уход-за-собой
П
Праздники-и-традиции
Т
Транспорт
П
Путешествия
С
Семейная-жизнь
Ф
Философия-и-религия
Б
Без категории
М
Мир-работы
Х
Хобби-и-рукоделие
И
Искусство-и-развлечения
В
Взаимоотношения
З
Здоровье
К
Кулинария-и-гостеприимство
Ф
Финансы-и-бизнес
П
Питомцы-и-животные
О
Образование
О
Образование-и-коммуникации
1sanita
1sanita
07.07.2021 05:36 •  Математика

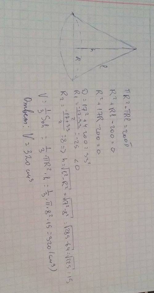
Много полной поверхности конуса равна 200 см2 , а его образующая – 17 см. найти объем конуса.

👇
Ответ:
мила0770
мила0770
07.07.2021
Площадь должна быть 200 \pi[tex]
Много полной поверхности конуса равна 200 см2 , а его образующая – 17 см. найти объем конуса.
4,8(45 оценок)
Ответ:
vikalavrlavr
vikalavrlavr
07.07.2021
Sпол=πR²+πRl
πR²+17πR=200π
R²+17R-200=0
R1+R2=-17 U R1*R2=-200
R1=-25 не удов усл
R2=8cм
h=√L²-R²=√(289-64)=√225=15см
V=1/3*πR²h=1/3*π*64*15=320π
4,8(7 оценок)
Открыть все ответы
Ответ:
катя184
катя184
07.07.2021
Дано: 5 разноцветных отрезков: зеленый, красный, синий, коричневый и                  черный.
            Самый короткий = 9 см
            Самый длинный = 1 дм 3 см=13 см  (1 дм=10 см)
Найти: Расположить отрезки по размеру в порядке возрастания.
1. Если Зеленый длиннее Красного, но короче Коричневого,
    а Синий длиннее Коричневого, то ЗЕЛЕНЫЙ КОРОЧЕ СИНЕГО.
2. Если Зеленый длиннее Красного, а Черный короче красного, то
    ЗЕЛЕНЫЙ ДЛИННЕЕ ЧЕРНОГО.
Сейчас имеем: Красный - длиннее Черного,
                                         - короче Зеленого.
                           Зеленый - длиннее Красного,
                                           - короче Коричневого,
                                           - короче Синего
                             Синий - длиннее коричневого.
     Получилось: Черный = 9 см
                            Красный > 9 см
                            Зеленый > Красного
                            Коричневый > Зеленого
                            Синий = 1 дм 3 см = 13 см
Рисунок во вложении
Синеглазка начертила 5 разноцветных отрезков. длина каждого отрезка - целое число сантиметров. длина
4,5(83 оценок)
Ответ:
artem20051105
artem20051105
07.07.2021
1-ый вариант: на одну чашу ставим 250 г, другую уравновешиваем крупой 2. на одну ставим 250 и отсыпанную крупу (всего 500), уравновешиваем 3. на одну ставим 250г и отсыпанную крупу в первый и второй раз (всего 1 кг) и уравновешиваем.
2-ой вариант сначала поделим 9 кг пополам. получится по 4,5 кг в двух пакетах. Затем один из пакетов снова поделим пополам. один пакет оставим 2,25 кг, а второй смешаем с тем что весом 4,5 кг. получим снова 2 пакета: один весом 2,25 а второй 6,75. И после от меньшего пакета отвесим 0,25 кг с х гирек и затем пересыпаем это в пакет с 6,75 гк. получим 2 пакета: 2 и 7 кг.
4,4(32 оценок)
Это интересно:
Новые ответы от MOGZ: Математика
logo
Вход Регистрация
Что ты хочешь узнать?
Спроси Mozg
Открыть лучший ответ