М
Молодежь
К
Компьютеры-и-электроника
Д
Дом-и-сад
С
Стиль-и-уход-за-собой
П
Праздники-и-традиции
Т
Транспорт
П
Путешествия
С
Семейная-жизнь
Ф
Философия-и-религия
Б
Без категории
М
Мир-работы
Х
Хобби-и-рукоделие
И
Искусство-и-развлечения
В
Взаимоотношения
З
Здоровье
К
Кулинария-и-гостеприимство
Ф
Финансы-и-бизнес
П
Питомцы-и-животные
О
Образование
О
Образование-и-коммуникации
прп30
прп30
28.08.2020 17:04 •  Математика

Найдите объем правильной четырехугольной пирамиды, боковое ребро которой равно 5 см, а высота равна 4 см.

👇
Ответ:
оля27102000
оля27102000
28.08.2020
По условию SA=SB=SC=SD = 5 см, SO = 4 см. 
Объем пирамиды вычисляется по формуле V= \frac{1}{3} S_o\cdot SO, где So - площадь основания.

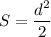
Вычислим OD из прямоугольного треугольника SOD, т.е. по т. Пифагора OD= \sqrt{SD^2-SO^2}= \sqrt{5^2-4^2} =3 см. Тогда BD = 2\cdot OD=6 см. Вычислив площадь основания по формуле S= \dfrac{d^2}{2}, получим S_o= \dfrac{BD^2}{2}= \dfrac{6^2}{2} =18 см²

Тогда объем пирамиды V= \frac{1}{3} \cdot 18\cdot 4=24 см³

ответ: 24 см³

Найдите объем правильной четырехугольной пирамиды, боковое ребро которой равно 5 см, а высота равна
4,5(69 оценок)
Открыть все ответы
Ответ:
dfhjkgftg357
dfhjkgftg357
28.08.2020
Третьему - остаток 10кг-это 1/5, значит 5/5(или 1) = 10:1/5=10*5=50кг - это покупка третьего
второй купил 4/9, осталось 5/9 и это равно 50кг(то, что покупал третий), значит 5/9 равно 50кг, а 9/9 (или 1) = 50:5/9=(50*9)/5=10*9=90кг, значит второй купил 90*4/9=40 кг
первый купил 1/4, значит после его покупки остаток 3/4 или 90кг , значит 4/4 (или 1) = 90:3/4=90*(4/3)=30*4=120 кг, а 1/4 - это 120*1/4=120/4=30кг-покупка первого
проверка 1/4 от 120=30кг-первый
остаток120-30=90, а 4/9= 90*4/9=40кг-второй
остаток 120-30-40=50кг, а 4/5 - это 50*4/5=40кг, и еще впридачу 10=40+10=50кг
4,6(34 оценок)
Ответ:
Пусть первоначальная цена товара а. в1-магазине. после уценки на 10% , он стал стоить а-0,1а=0,9а. затем его уценили еще на10%. сделаем пропорцию
0,9а--- 100%
х- 10%, х=0,9а·10%/100%= 0,09а. теперь цена после уценки 0,9а-0,09а= 0,81а.
теперь во 2- магазине когда они уценили сразу на 20%, товар стал стоить
а- 0,2а= 0,8 а
как видим товар в 1- магазине все равно дороже.
в качестве примера возьмем любую цену.
пусть товар стоил 5000 у.е.
10%от 5000= 500
5000-500= 4500
10%от 4500= 450
4500-450= 4050.
2- магазин 20% от 5000= 1000
5000-1000= 4000.
ответ: товар стал дешевле во 2- магазине.
4,8(58 оценок)
Это интересно:
Новые ответы от MOGZ: Математика
logo
Вход Регистрация
Что ты хочешь узнать?
Спроси Mozg
Открыть лучший ответ