М
Молодежь
К
Компьютеры-и-электроника
Д
Дом-и-сад
С
Стиль-и-уход-за-собой
П
Праздники-и-традиции
Т
Транспорт
П
Путешествия
С
Семейная-жизнь
Ф
Философия-и-религия
Б
Без категории
М
Мир-работы
Х
Хобби-и-рукоделие
И
Искусство-и-развлечения
В
Взаимоотношения
З
Здоровье
К
Кулинария-и-гостеприимство
Ф
Финансы-и-бизнес
П
Питомцы-и-животные
О
Образование
О
Образование-и-коммуникации
samsungtaba32
samsungtaba32
03.02.2020 10:28 •  Математика

Сократите дробь 42\49 ; 30\75 подробно.

👇
Ответ:
максим1718
максим1718
03.02.2020
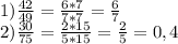
1) \frac{42}{49}= \frac{6*7}{7*7}= \frac67\\ 2) \frac{30}{75}= \frac{2*15}{5*15}= \frac25=0,4
4,4(8 оценок)
Ответ:
LeraReka
LeraReka
03.02.2020
42    6*7     6
--- = = ---
49    7*7     7

30    2*15      2
--- = = ---
75    5*15      5
4,5(89 оценок)
Открыть все ответы
Ответ:
ДашаЕ1
ДашаЕ1
03.02.2020
Разностное сравнение - это значит найти разность - вычесть из бОльшего меньшее.

Задача 1.
2 "а" класс сдал 15 кг макулатуры, а  2 "б" класс 18 кг макулатуры. На сколько больше сдал 2 "б" класс?
18 - 15 = 3 кг - на столько больше сдал 2 "б" класс.

Задача 2.
Малыш съел 3 плюшки, которые испекла вредная няня. Карлсон съел в  5 раз больше. На сколько больше плюшек съел Карлсон, чем Малыш?
1) 3 * 5 = 15 плюшек - съел Карлсон
2) 15 - 3 = 12 плюшек - разница - на столько больше съел Карсон.

Задача 3.
Саша нашёл 36 боровиков, а Настя - в 2 раза меньше. На сколько больше боровиков нашёл Саша, чем Настя?
1) 36 : 2 = 18 боровиков - нашла Настя
2) 36 - 18 = 18 боровиков - разница - на столько больше нашёл Саша.
4,4(39 оценок)
Ответ:
Смешарик111
Смешарик111
03.02.2020
Решение по формуле: Р(А)=m/n
n=6, т к у кубика всего 6 сторон
1. А- событие, при котором выпадет четное число
    m=3, т к четные чила 2 4 6, их трое
   Р(А)=3/6=1/2
2. А- событие, при котором выпадет число, которое не   делится на 4
     m=5, т к на 4 делится только 4, остается 5 чисел
   Р(А)= 5/6
3. А- событие, при котором выпадет число, которое не делится на 3
   m=4, т к на 3 делятся 3 и 6, остается 4 числа
   Р(А)=4/6=2/3
4. А- событие, при котором выпадет число, кратное 7
    m=0, т к никакое число не делится на 7
   Р(А)= 0
4,4(27 оценок)
Новые ответы от MOGZ: Математика
logo
Вход Регистрация
Что ты хочешь узнать?
Спроси Mozg
Открыть лучший ответ