М
Молодежь
К
Компьютеры-и-электроника
Д
Дом-и-сад
С
Стиль-и-уход-за-собой
П
Праздники-и-традиции
Т
Транспорт
П
Путешествия
С
Семейная-жизнь
Ф
Философия-и-религия
Б
Без категории
М
Мир-работы
Х
Хобби-и-рукоделие
И
Искусство-и-развлечения
В
Взаимоотношения
З
Здоровье
К
Кулинария-и-гостеприимство
Ф
Финансы-и-бизнес
П
Питомцы-и-животные
О
Образование
О
Образование-и-коммуникации
gugem
gugem
29.03.2021 14:49 •  Математика

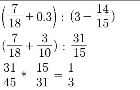
Найдите значение выражения (+) : ( -)

👇
Ответ:
veseloffgleb
veseloffgleb
29.03.2021
ответ фотоскан
_____________
Найдите значение выражения (+) : ( -)
4,4(99 оценок)
Открыть все ответы
Ответ:
kmidakova
kmidakova
29.03.2021

ответ:

пошаговое объяснение:

точка о -центр окружности. концы радиусов   обозначим   а   и   в. соединим концы радиусов, получим хорду ав. рассмотрим полученный треугольник аов.

он равнобедренный, т.к ао=во = 8 см.. из вершины о проведём высоту он к хорде. получили 2 тр-ка. рассмотрим тр-ник вон.   угол нов = 120: 2 = 60 гр., т.к. высота равнобедренного тр-ника делит этот угол пополам. угол вон = 90гр. угол в = 180 -60 -90 =30 гр. высота он лежит против угла 30 гр и равна половине гипотенузы он.   во= 8/2 = 4 см.

ответ: 4 см

4,4(92 оценок)
Ответ:
                                                                 №1
1) 400+440=840 (т.) - доставлено на два первых, второй и третий склады
2) 840-300=540 (т.) - доставлено на два первых склада
3) 540:2=270 (т.) - доставлено на первый склад
4) 400-270=130 (т.) - доставили на второй склад
5) 300-130=170 (т.) - доставили на третий склад
Отвтет: на первый 270, на второй 130, на третий 170 т.
                                                                  №2
1)64:8=8 - количество стручков для новой детали (или столько деталей можно изготовить из всех оставшихся стручков)
2) 64+8=72 - детали всего
ответ: 72 детали.
4,5(31 оценок)
Это интересно:
Новые ответы от MOGZ: Математика
logo
Вход Регистрация
Что ты хочешь узнать?
Спроси Mozg
Открыть лучший ответ