М
Молодежь
К
Компьютеры-и-электроника
Д
Дом-и-сад
С
Стиль-и-уход-за-собой
П
Праздники-и-традиции
Т
Транспорт
П
Путешествия
С
Семейная-жизнь
Ф
Философия-и-религия
Б
Без категории
М
Мир-работы
Х
Хобби-и-рукоделие
И
Искусство-и-развлечения
В
Взаимоотношения
З
Здоровье
К
Кулинария-и-гостеприимство
Ф
Финансы-и-бизнес
П
Питомцы-и-животные
О
Образование
О
Образование-и-коммуникации
kvasik032
kvasik032
11.05.2020 11:20 •  Математика

На левую чашу весов положили два шара радиусов 3 и 5, на правую-один шар радиуса 8. какая из чаш перевесит? p.s. все шары изготовлены из одного и того же материала

👇
Ответ:
violapi
violapi
11.05.2020
Масса шара находится по формуле

\dispaystyle m=V\rho 
где V - объем тела, ρ- плотность тела

т.к. шары изготовлены из одного материала то их плотность равна. 
Нам нужно сравнить только объемы тел

Объем шара: 
\dispaystyle V= \frac{4}{3} \pi *r^3
где r- радиус шара

найдем объемы наших шаров

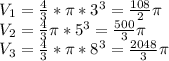
\dispaystyle V_1= \frac{4}{3}* \pi *3^3= \frac{108}{2} \pi \\V_2= \frac{4}{3} \pi *5^3= \frac{500}{3} \pi \\V_3= \frac{4}{3}* \pi *8^3= \frac{2048}{3} \pi

теперь сравним массы шаров

\dispaystyle m_1+m_2=V_1\rho+V_2\rho=\rho* \pi ( \frac{108}{3}+ \frac{500}{3})=\rho* \pi * \frac{608}{3}\\m_3=\rho* \pi * \frac{2048}{3}

Значит масса шара с радиусом 8 значительно больше чем масса двух шаров с радиусами 3 и 5
4,4(82 оценок)
Открыть все ответы
Ответ:
UNNAMED3228
UNNAMED3228
11.05.2020

Если разложить на множители, то будет 1664 = 13*2^7

Поскольку туда должны входить множители вида n*(2n), т.е. должен входить множитель n^2, n не может быть 13. Значит это 2 в какой-то степени. А 13 - либо возраст одного из братьев, либо множитель в возрасте одного из братьев.

Значит младшему может быть 2, 4 или 8 лет.

Если младшему 2 или 4, то старшему будет 4 или 8, значит 13 уже больше.

Остаётся младшему 8. Тогда 2n=16, а 13 как раз между ними.

8*13*16 = 1664 - подходит.

 

ОТВЕТ: ВСЕГО У МАШИ 3 БРАТА.

4,6(28 оценок)
Ответ:
vladys13
vladys13
11.05.2020
2кубика; на каждом от 1до 6числа

Всех исходов n=6•6=36

Благоприятных исходов,
сумма от 2 до 10; m=33;

Сумма варианты такие; один кубик+2кубик;
1+1=2; 1+2=3; 1+3=4; 1+4=5; 1+5=6; 1+6=7; 2+1=3; 2+2=4; 2+3=5; 2+4=6; 2+5=7; 2+6=8; 3+1=4; 3+2=5; 3+3=6; 3+4=7; 3+5=8; 3+6=9; 4+1=5; 4+2=6; 4+3=7; 4+4=8; 4+5=9; 4+6=10; 5+1=6; 5+2=7; 5+3=8; 5+4=9; 5+5=10; 6+1=7; 6+2=8; 6+3=9; 6+4=10; считаем =33варианта благоприятных

Вероятность по формуле

Р=m/n=33/36= 11/12=0,91666..= ~~~ 0,917.
(До тысячных с точностью 0,917).

ответ: вероятность 0,917 что сумма на двух кубиках не больше 10.
4,5(56 оценок)
Это интересно:
Новые ответы от MOGZ: Математика
logo
Вход Регистрация
Что ты хочешь узнать?
Спроси Mozg
Открыть лучший ответ