М
Молодежь
К
Компьютеры-и-электроника
Д
Дом-и-сад
С
Стиль-и-уход-за-собой
П
Праздники-и-традиции
Т
Транспорт
П
Путешествия
С
Семейная-жизнь
Ф
Философия-и-религия
Б
Без категории
М
Мир-работы
Х
Хобби-и-рукоделие
И
Искусство-и-развлечения
В
Взаимоотношения
З
Здоровье
К
Кулинария-и-гостеприимство
Ф
Финансы-и-бизнес
П
Питомцы-и-животные
О
Образование
О
Образование-и-коммуникации
Лерой04
Лерой04
13.12.2020 12:11 •  Математика

Подскажите как из (х-1)/2+(х^2+х-4)/4> (0,5х^2+1)/3 получить (х^2+9-22)/12> 0,5х^2+9x-22> 0

👇
Ответ:
серик26
серик26
13.12.2020
Переносим все в левую часть и приводим к общему знаменателю:

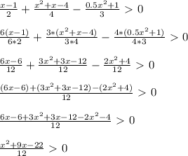
\frac{x-1}{2}+ \frac{x^2+x-4}{4}- \frac{0.5x^2+1}{3}\ \textgreater \ 0 \\ \\ \frac{6(x-1)}{6*2}+ \frac{3*(x^2+x-4)}{3*4}- \frac{4*(0.5x^2+1)}{4*3}\ \textgreater \ 0 \\ \\ \frac{6x-6}{12}+ \frac{3x^2+3x-12}{12}- \frac{2x^2+4}{12}\ \textgreater \ 0 \\ \\ \frac{(6x-6)+(3x^2+3x-12)-(2x^2+4)}{12}\ \textgreater \ 0 \\ \\ \frac{6x-6+3x^2+3x-12-2x^2-4}{12}\ \textgreater \ 0 \\ \\ \frac{x^2+9x-22}{12}\ \textgreater \ 0
4,6(7 оценок)
Открыть все ответы
Ответ:
polikzaisheva12
polikzaisheva12
13.12.2020

Школьники посадили 36 лип и 42 берёзы в несколько рядов. Сколько рядов деревьев посадили школьники, если в каждом ряду было посажено по 6 лип и 7 берёз? используя условие задачи, записать пояснения к выражениям. используя условие задачи, записать пояснения к выражениям.

 

1) 36:6=6 - рядов лип.

36-7=29 - разница между количеством лип и берёз в одном ряду.

7-6=1 - берёз больше чем лип в каждом ряду.

7+6=13 - лип и берёз в каждом ряду

(36+42):6=13 - всего деревьев в ряду

(36+42):(6+7)=6 рядов деревьев посадили

4,4(3 оценок)
Ответ:
stepvitalii
stepvitalii
13.12.2020

Из условия нам дано, что в парке растут берёзы, дубы и клены. Дубов в 3 раза больше, чем берёз, а клёнов в 4 раза больше берёз.  

Обозначим через X количество берёз:

Берёзы - X.

Дубы - 3X.

Клёны - 4X.  

В условии сказано, что в парке всего 368 деревьев растёт. Значит сумма всех членов равна:

X + 3X + 4X = 368.

Решим уравнение:

X + 3X + 4X = 368;

8X = 368;

X = 46.  

Через X обозначали количество берёз, значит количество деревьев - 46.

Найдем количество дубов:

1) 3 * 46 = 138 дубов растет в парке.

2) 4 * 46 = 184 кленов растет в парке.

ответ: В парке растет: 46 берез; 138 дубов; 184 кленов.

Пошаговое объяснение:

4,7(15 оценок)
Это интересно:
Новые ответы от MOGZ: Математика
logo
Вход Регистрация
Что ты хочешь узнать?
Спроси Mozg
Открыть лучший ответ