М
Молодежь
К
Компьютеры-и-электроника
Д
Дом-и-сад
С
Стиль-и-уход-за-собой
П
Праздники-и-традиции
Т
Транспорт
П
Путешествия
С
Семейная-жизнь
Ф
Философия-и-религия
Б
Без категории
М
Мир-работы
Х
Хобби-и-рукоделие
И
Искусство-и-развлечения
В
Взаимоотношения
З
Здоровье
К
Кулинария-и-гостеприимство
Ф
Финансы-и-бизнес
П
Питомцы-и-животные
О
Образование
О
Образование-и-коммуникации
Millat23
Millat23
11.04.2021 03:25 •  Математика

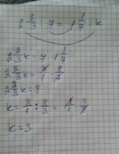
Реши пропорцию. 2 целых 2/3 : 7=1 целая 1/7 : k ответ: k=

👇
Ответ:
AiratAitov
AiratAitov
11.04.2021
К=3
Реши пропорцию. 2 целых 2/3 : 7=1 целая 1/7 : k ответ: k=
4,8(48 оценок)
Открыть все ответы
Ответ:
zangalievaira
zangalievaira
11.04.2021

на 14 дней увеличится срок выполнения работы

Пошаговое объяснение:

Это - обратно пропорциональная зависимость двух величин, при которой  увеличение (уменьшение) одной из них в несколько раз, другая уменьшается (увеличивается) во столько же раз:

Имеем 60 насосов, из которых 25% нерабочие

60 - 60 * 0,25 = 60 - 15 = 45 (насосов)  рабочих

↓60 насосов - 42 дня↑

↓45 насосов - х дней↑

60 : 45 = х : 42

45х = 60*42

45х = 2520

х = 2520/45

х = 56 (дней) понадобится для откачки воды

56 - 42 = 14 (дней) - на 14 дней увеличится срок выполнения работы

При уменьшении количества насосов увеличивается количество дней для выполнения работы.

4,7(34 оценок)
Ответ:
kirillarhipenc1
kirillarhipenc1
11.04.2021

Пошаговое объяснение:

1 сложить их и разделить на 4

2 4812-(4812*0,19)

3 ответ: 1200 страниц в книге.Пошаговое объяснение:1) 192 : 16 = 12 (страниц) 1 %.2) 12 * 100 = 1200 (страниц) в книге.

4 ) Вычислим расстояние, которое преодолел велосипедист за 2 часа: 12,6 • 2 = 25,2 (км);

2) Найдем расстояние, которое проехал велосипедист за 4 часа: 13,5 • 4 = 54 (км);

3) Узнаем весь путь, который преодолел велосипедист: 25,2 + 54 = 79,2 (км);

4) Определим общее время велосипедиста в пути: 2 + 4 = 6 (ч);

5) Вычислим среднюю скорость велосипедиста на всем пути: 79,2 : 6 = 13,2 (км/ч).

ответ: средняя скорость велосипедиста – 13,2 км/ч.

5 3.6 x 100 / 15 = 24

6 4,68 : 78% =4,68:0,78=6 т пшеницы 2,1*78%=2,1*0,78=1,638 муки

4,5(59 оценок)
Это интересно:
Новые ответы от MOGZ: Математика
Полный доступ к MOGZ
Живи умнее Безлимитный доступ к MOGZ Оформи подписку
logo
Вход Регистрация
Что ты хочешь узнать?
Спроси Mozg
Открыть лучший ответ