М
Молодежь
К
Компьютеры-и-электроника
Д
Дом-и-сад
С
Стиль-и-уход-за-собой
П
Праздники-и-традиции
Т
Транспорт
П
Путешествия
С
Семейная-жизнь
Ф
Философия-и-религия
Б
Без категории
М
Мир-работы
Х
Хобби-и-рукоделие
И
Искусство-и-развлечения
В
Взаимоотношения
З
Здоровье
К
Кулинария-и-гостеприимство
Ф
Финансы-и-бизнес
П
Питомцы-и-животные
О
Образование
О
Образование-и-коммуникации
мухтар112
мухтар112
18.07.2021 07:32 •  Математика

Теорема длина биссектрисы в треугольнике : почему ad = b/(a+c)?

👇
Ответ:
ΔАВС ,  АC=b  ,  AB=c
AD=l -  биссектриса  ⇒   ∠САD=∠BAD=A/2
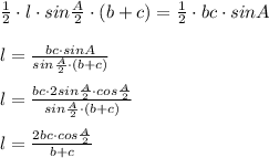
S(ΔABC)=S(ΔADC)+S(ΔADB)=1/2·bl·sinA/2+1/2·cl·sinA/2=1/2·l·sinA/2(b+c)
S(ΔABC)=1/2·bc·sinA

\frac{1}{2}\cdot l\cdot sin\frac{A}{2}\cdot (b+c)=\frac{1}{2}\cdot bc\cdot sinA\\\\l=\frac{bc\cdot sinA}{sin\frac{A}{2}\cdot (b+c)} \\\\l= \frac{bc\cdot 2sin\frac{A}{2}\cdot cos\frac{A}{2}}{sin\frac{A}{2}\cdot (b+c)} \\\\l= \frac{2bc\cdot cos\frac{A}{2}}{b+c}
4,5(96 оценок)
Открыть все ответы
Ответ:
AnnaDor
AnnaDor
18.07.2021
1. 2x - 8 = 4
    2x = 12
    x = 6
2. 45 - 3x = 22
    3x = 23
    x = 23/3 = 7 2/3
3. 50 - 5x = 30
    5x = 20
    x = 4
4. 56/(x-1) = 7
    56 = 7x - 7
    7x = 63
    x = 9
5. (x + 4)3 = 27
    x + 4 = 9
    x = 5
6. 3 - 2x = 1
    2x = 2
    x = 1
7. 48/(x+6) = 6
    48 = 6x + 36
    6x = 12
    x = 2
8. 6 - x = 1
    x = 5
9. x/7 = 9 
    x = 63
10. (8 + x)3 = 30
       8 + x = 10
       x = 2
11. 15 + 2x = 17
      2x = 2
      x = 1
12. x/7 = 9
      x = 63
13. (9 - x)/6 = 36
       9 - x = 216
       x = -207
14. x/11 = 2
      x = 22
15. 15 + 3x = 12
      3x = -3
      x = -1
16. 9 - 5x = 4
      5x = 5
      x = 1
4,7(89 оценок)
Ответ:
drazzgaming
drazzgaming
18.07.2021

60

Пошаговое объяснение:

Для решения данной задачи введем две условные переменные "Х" и "У", через которые обозначим количество металлолома, которое собрали соответственно крокодил Гена и Чебурашка. Тогда, по условию задачи, составим следующие уравнения: 1) Х - 12 = У; 2) У = 2/5 (Х + У). Решая систему из двух уравнений, получаем следующие значения: Х = 36 и У = 24. Чтобы найти общее количество металлолома, собранного крокодилом Геной и Чебурашкой, необходимо просуммировать 36 и 24. в результате получаем 60 килограмм.

4,5(23 оценок)
Это интересно:
Новые ответы от MOGZ: Математика
logo
Вход Регистрация
Что ты хочешь узнать?
Спроси Mozg
Открыть лучший ответ