М
Молодежь
К
Компьютеры-и-электроника
Д
Дом-и-сад
С
Стиль-и-уход-за-собой
П
Праздники-и-традиции
Т
Транспорт
П
Путешествия
С
Семейная-жизнь
Ф
Философия-и-религия
Б
Без категории
М
Мир-работы
Х
Хобби-и-рукоделие
И
Искусство-и-развлечения
В
Взаимоотношения
З
Здоровье
К
Кулинария-и-гостеприимство
Ф
Финансы-и-бизнес
П
Питомцы-и-животные
О
Образование
О
Образование-и-коммуникации
анисенко111
анисенко111
27.01.2020 13:55 •  Математика

Представьте числа 2,4,8,16,32,64,128, 1/2,1/4,1/8,1/32,1/128 в виде степени числа а)2 б)1/2

👇
Ответ:
дима2721
дима2721
27.01.2020
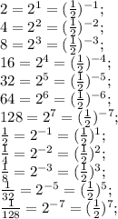
2=2^1=( \frac{1}{2} )^{-1}; \\ 4=2^2=( \frac{1}{2} )^{-2}; \\ 8=2^3=( \frac{1}{2} )^{-3}; \\ 16=2^4=( \frac{1}{2} )^{-4}; \\ 32=2^5=( \frac{1}{2} )^{-5}; \\ 64=2^6=( \frac{1}{2} )^{-6}; \\ 128=2^7=( \frac{1}{2} )^{-7}; \\ \frac{1}{2} =2^{-1}=( \frac{1}{2} )^{1}; \\ \frac{1}{4} =2^{-2}=( \frac{1}{2} )^{2}; \\ \frac{1}{8} =2^{-3}=( \frac{1}{2} )^{3}; \\ \frac{1}{32} =2^{-5}=( \frac{1}{2} )^{5}; \\ \frac{1}{128} =2^{-7}=( \frac{1}{2} )^{7};
4,8(22 оценок)
Открыть все ответы
Ответ:
zarasabaka
zarasabaka
27.01.2020
Температура тела человека и высших животных поддерживается на относительно постоянном уровне, несмотря на колебания температуры окружающей среды. Это постоянство температуры тела носит название изотермии. Изотермия в процессе онтогенеза развивается постепенно. У новорожденного поддерживать постоянство температуры тела не совершенна. В результате может наступить охлаждение или перегревание организма при таких температурах окружающей среды, которые не оказывают влияния на взрослого человека. Даже небольшая мышечная работа, связанная с длительным криком ребенка, может повысить температуру тела. Температура органов и тканей, как и всего организма, зависит от интенсивности образования тепла и от теплопотерь. Теплообразование происходит в результате непрерывно совершающихся экзотермических реакциях. В тканях и органах, производящих активную работу (мышечная ткань, печень, почки), выделяется большее количество тепла, чем в менее активных (соединительные ткани, кости, хрящи). Потеря тепла органами и тканями зависит от месторасположения: поверхностно расположенные органы (кожа, скелетные мышцы) отдают больше тепла и охлаждаются сильнее, чем внутренние органы, более защищенные от охлаждения. Печень, расположенная глубоко внутри тела и дающая большую теплопродукцию, имеет у человека более высокую и постоянную температуру (37,8 - 38 °С), температура кожи  в большей мере зависит от окружающей среды. О температуре тела человека судят на основании ее измерения в подмышечной впадине. Здесь температура у здорового человека рав­на 36,5 -36,9°С. Температура тела не остается постоянной, а колеб­лется в пределах 0,5 – 0,7°С. Покой и сон понижает температуру, мышечная деятельность повышает ее. Максимальная температура тела наблюдается в 4 - 6 часов вечера, минимальная - в 3 - 4 часа утра. Постоянство температуры тела у человека может сохраняться при условии равенства теплообразования и потери тепла всего организма. Это достигается с физиологических механизмов тер­морегуляции. Терморегуляцию принято разделять на химическую и физическую.
4,7(66 оценок)
Ответ:
MokrovaDiana
MokrovaDiana
27.01.2020

В теле животного всегда происходит обмен веществ, т. е. непрерывное разрушение, распад на части живого вещества и столь же непрерывное его восстановление за счет питательных веществ.  

Образование тепла в теле человека  

 

Распад веществ сопровождается образованием тепла, а поверхность тела, подобно любому нагретому предмету, отдает тепло окружающей среде, если ее температура ниже температуры тела. У млекопитающих и птиц температура тела постоянна, у остальных животных она изменчива.  

За 40 часов человек мог нагреться бы до точки кипения воды!  

 

В теле человека за один час образуется столько тепла, сколько нужно, чтобы вскипятить 1 л ледяной воды. И если бы тело вместо кожи было покрыто непроницаемым для тепла футляром, то уже через час температура тела поднялась бы примерно на полтора градуса, а часов через сорок достигла бы точки кипения воды.  

 

Во время тяжелой физической работы обмен веществ, а следовательно, и образованно тепла увеличивается в несколько раз. Несмотря на это, температура нашего тела ностоянна, и у здорового человека она не превышает 37 градусов.  

Совершенная кожа человека  

 

Постоянная температура у человека поддерживается почти исключительно путем регуляции отдачи тепла. Облегчает эту регуляцию одежда.  

Кожа человека обладает замечательным свойством: при одной и той же температуре воздуха ее отдавать тепло может резко меняться.  

Потовые железы кожи и пот человека  

 

Иногда кожа отдает очень мало тепла. Но она отдавать много тепла, даже если температура воздуха выше температуры тела, что на первый взгляд может показаться невероятным. Это свойство кожи связано с работой потовых желез. В жаркую погоду, когда температура воздуха становится выше температуры тела, кожа должна бы не отдавать тепло, а сама взгреваться от чрезмерно теплого воздуха. Тут-то и выступают на первый план потовые железы. Выделение пота резко усиливается. Испаряясь с поверхности тела, пот охлаждает кожу и отнимает у нее много тепла. При очень высокой температуре (например, во время работы в горячих цехах) может выделиться более 2 л пота в час.  

Потоотделение  

 

Потоотделение может иметь значение также и при невысокой температуре воздуха, например во время тяжелой физической работы, когда резко повышается обмен веществ, а с ннм и образование тепла. Чем суше воздух, тем легче испаряется пот с поверхности тела.  

Почему в бане и парилке трудно находиться и дышать  

 

В воздухе, насыщенном водяными парами, выделившийся пот не испаряется, а стекает каплями и перестает отдаче тепла. Вот почему так трудно находиться в бане, особенно в парильне.

4,7(72 оценок)
Это интересно:
Новые ответы от MOGZ: Математика
logo
Вход Регистрация
Что ты хочешь узнать?
Спроси Mozg
Открыть лучший ответ