М
Молодежь
К
Компьютеры-и-электроника
Д
Дом-и-сад
С
Стиль-и-уход-за-собой
П
Праздники-и-традиции
Т
Транспорт
П
Путешествия
С
Семейная-жизнь
Ф
Философия-и-религия
Б
Без категории
М
Мир-работы
Х
Хобби-и-рукоделие
И
Искусство-и-развлечения
В
Взаимоотношения
З
Здоровье
К
Кулинария-и-гостеприимство
Ф
Финансы-и-бизнес
П
Питомцы-и-животные
О
Образование
О
Образование-и-коммуникации
Am0nt
Am0nt
28.11.2022 22:45 •  Математика

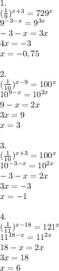
Номер 1 (1/9)^x+3=729^x номер 2 (1/10)^x-9=100^x номер 3 (1/10)^x+3=100^x номер 4 (1/11)^x-18=121^x 98

👇
Ответ:
egor911777
egor911777
28.11.2022
1.\\
( \frac{1}{9})^{x+3}= 729^x\\
9^{-3-x}=9^{3x}\\
-3-x =3x\\
4x=-3\\
x=-0,75\\
\\
2.\\
( \frac{1}{10})^{x-9}= 100^x\\
10^{9-x}=10^{2x}\\
9-x =2x\\
3x=9\\
x=3\\
\\
3.\\
( \frac{1}{10})^{x+3}= 100^x\\
10^{-3-x}=10^{2x}\\
-3-x =2x\\
3x=-3\\
x=-1\\
\\
4.\\
( \frac{1}{11})^{x-18}= 121^x\\
11^{18-x}=11^{2x}\\
18-x =2x\\
3x=18\\
x=6
4,7(99 оценок)
Открыть все ответы
Ответ:
petrovasofia0
petrovasofia0
28.11.2022

Первый класс посадил 0,35  всех дерьев
Второй класс 3\5 оставшихся 
Третий класс остальные 260
Второй и Третий класс вместе посадили 5\5 оставшихся деревьев. Так как второй класс посадил 3\5, то третий - 2\5 соответственно.
260= 2\5, значит 3\5 = 390 - Деревья, которые посадил второй класс
Первый класс посадил 0,35 деревьев, значит второй+ третий = 0,65.
390+260 =  650 -  это 0,65 от всех деревьев
650\0,65*0,35 = 350 - Деревья, которые посадил первый класс
Вместе они посадили 350+260+390 = 1000 деревьев
ответ: 1000
 

4,4(37 оценок)
Ответ:
ваниль2003
ваниль2003
28.11.2022

1) 78+3·16=78+48=126

2) 1 260:126=10 (руб.) - стоимость детского билета.

3) 10·3=30 (руб.) - стоимость взрослого билета.

Предположим, что стоимость детского билета х рублей, тогда стоимость взрослого 3х рублей, также из условия задачи известно, что при посещении зоопарка купили 78 детских и 16 взрослых билетов и заплатили за них 1 260 рублей

согласно этим данным составим и решим уравнение:

78х+3х·16=1 260

78х+48х=1 260

126х=1 260

х=1260:126

х=10 (руб.) - стоимость детского билета.

3х=3·10=30 (руб.) - стоимость взрослого билета.

ответ: 10 рублей цена детского билета и 30 рублей цена взрослого билета.

4,5(5 оценок)
Это интересно:
Новые ответы от MOGZ: Математика
logo
Вход Регистрация
Что ты хочешь узнать?
Спроси Mozg
Открыть лучший ответ