М
Молодежь
К
Компьютеры-и-электроника
Д
Дом-и-сад
С
Стиль-и-уход-за-собой
П
Праздники-и-традиции
Т
Транспорт
П
Путешествия
С
Семейная-жизнь
Ф
Философия-и-религия
Б
Без категории
М
Мир-работы
Х
Хобби-и-рукоделие
И
Искусство-и-развлечения
В
Взаимоотношения
З
Здоровье
К
Кулинария-и-гостеприимство
Ф
Финансы-и-бизнес
П
Питомцы-и-животные
О
Образование
О
Образование-и-коммуникации
zziimmbboo
zziimmbboo
19.12.2021 08:30 •  Математика

Доведіть ,що значення виразу не залежить від х ( 7х2 +4 ): (3х2 + 5х2+3 ): (2х2+2) 2. доведіть , що значення виразу 253 в кубі+247 в кубі ділиться на 500

👇
Ответ:
ggggbbb90
ggggbbb90
19.12.2021
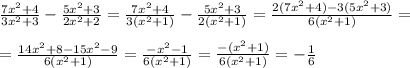
\frac{7x^2+4}{3x^2+3} - \frac{5x^2+3}{2x^2+2}= \frac{7x^2+4}{3(x^2+1)} - \frac{5x^2+3}{2(x^2+1)}= \frac{2(7x^2+4)-3(5x^2+3)}{6(x^2+1)} = \\\\=\frac{14x^2+8-15x^2-9}{6(x^2+1)} =\frac{-x^2-1}{6(x^2+1)} =\frac{-(x^2+1)}{6(x^2+1)} = -\frac{1}{6}
значение выражения не зависит от переменной.

253^3+247^3=(253+247)(253^2-253*247+247^2)= \\ =(500)(253^2-253*247+247^2)
Один из множителей равен 500, значит выражение делится на 500.
4,8(18 оценок)
Открыть все ответы
Ответ:
026k
026k
19.12.2021

Пошаговое объяснение:

рассматриваем два случая, т.к. модуль можно раскрыть с плюсом и с минусом

у вас рассмотрен первый случай, когда модель раскрывают с минусом

|-x| = 6, |x| = 6

|-(|x| - 2)| = 6 - так же верно, отсюда минус

-(|x| - 2) = 6

далее раскрывая скобки получаем запись аналогичную:

(-1) * (|x| - 2)

умножаем (-1) на каждое слагаемое:

(-1) * |x| + (-1) * (-2) = -|x| + 2

так же можно просто запомнить правило:

при умножении на "-" меняем все знаки на противоположные

заметьте, у нас был в скобках |x| стал -|x|, было -2 стало +2

дальнейшее решение:

-|x| + 2 = 6

-|x| = 6 - 2

-|x| = 4

|x| = -4

нет решений, т.к. модуль не может быть отрицательным

рассматриваем второй случай, про который говорили в начале

|x| - 2 = 6

|x| = 6 + 2

|x| = 8

x = -8 или x = 8

4,7(65 оценок)
Ответ:
LAMuK
LAMuK
19.12.2021

2 4

Объяснение:

1) Четырехугольник является параллелограммом по определению, если у него противолежащие стороны параллельны, то есть лежат на параллельных прямых.

ABCD — параллелограмм, если

AB ∥ CD, AD  ∥ BC.

Для доказательства параллельности прямых используют один из признаков параллельности прямых, чаще всего — через внутренние накрест лежащие углы. Для доказательства равенства внутренних накрест лежащих углов можно доказать равенство пары треугольников.

Например, это могут быть пары треугольников

1) ABC и CDA,

2) BCD и DAB,

3) AOD и COB,

4) AOB и COD.

2) Четырехугольник является параллелограммом, если у него диагонали в точке пересечения делятся пополам.

Чтобы использовать этот признак параллелограмма, надо сначала доказать, что AO=OC, BO=OD.

3) Четырехугольник является параллелограммом, если у него противолежащие стороны параллельны и равны.

Чтобы использовать этот признак параллелограмма, надо сначала доказать, что AD=BC и AD ∥ BC (либо AB=CD и AB ∥ CD).

Для этого можно доказать равенство одной из тех же пар треугольников.

4) Четырехугольник — параллелограмм, если у него противоположные стороны попарно равны.

Чтобы воспользоваться этим признаком параллелограмма, нужно предварительно доказать, что AD=BC и AB=CD.

Для этого доказываем равенство треугольников ABC и CDA или BCD и DAB.

Это — четыре основных доказательства того, что некоторый четырехугольник — параллелограмм. Существуют и другие доказательства. Например, четырехугольник — параллелограмм, если сумма квадратов его диагоналей равна сумме квадрату сторон. Но, чтобы воспользоваться дополнительными признаками, надо их сначала доказать.

Доказательство с векторов или координат также опирается на определение и признаки параллелограмма, но проводится иначе. Об этом речь будет вестись в темах, посвященных векторам и декартовым координатам.

4,7(86 оценок)
Это интересно:
Новые ответы от MOGZ: Математика
logo
Вход Регистрация
Что ты хочешь узнать?
Спроси Mozg
Открыть лучший ответ