М
Молодежь
К
Компьютеры-и-электроника
Д
Дом-и-сад
С
Стиль-и-уход-за-собой
П
Праздники-и-традиции
Т
Транспорт
П
Путешествия
С
Семейная-жизнь
Ф
Философия-и-религия
Б
Без категории
М
Мир-работы
Х
Хобби-и-рукоделие
И
Искусство-и-развлечения
В
Взаимоотношения
З
Здоровье
К
Кулинария-и-гостеприимство
Ф
Финансы-и-бизнес
П
Питомцы-и-животные
О
Образование
О
Образование-и-коммуникации
kotsweg
kotsweg
13.11.2020 19:44 •  Математика

Известно, что a+b+c=17,а 1/(a+b)+1/(b+c)+1/(c+a)=17/20. найдите сумму a/(b+c)+b/(c+a)+c/(a+b).

👇
Ответ:
yaxoroshiy1
yaxoroshiy1
13.11.2020

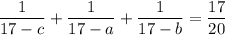
Из первого равенства выразив a+b, b+c, a+c и подставляя во второе равенство мы получим :

\dfrac{1}{17-c}+\dfrac{1}{17-a}+\dfrac{1}{17-b}=\dfrac{17}{20}

Подсчитаем нужную сумму для нас

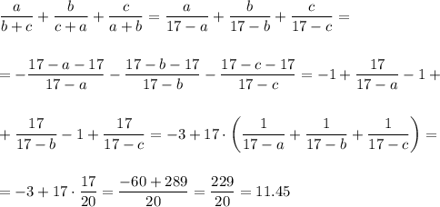
\dfrac{a}{b+c}+\dfrac{b}{c+a}+\dfrac{c}{a+b}=\dfrac{a}{17-a}+\dfrac{b}{17-b}+\dfrac{c}{17-c}=\\ \\ \\ =-\dfrac{17-a-17}{17-a}-\dfrac{17-b-17}{17-b}-\dfrac{17-c-17}{17-c}=-1+\dfrac{17}{17-a}-1+\\ \\ \\ +\dfrac{17}{17-b}-1+\dfrac{17}{17-c}=-3+17\cdot \left(\dfrac{1}{17-a}+\dfrac{1}{17-b}+\dfrac{1}{17-c}\right)=\\ \\ \\ =-3+17\cdot\dfrac{17}{20}=\dfrac{-60+289}{20}=\dfrac{229}{20}=11.45

4,4(42 оценок)
Открыть все ответы
Ответ:
he11sp0re
he11sp0re
13.11.2020

Пошаговое объяснение:

очка вне плоскости А. Отрезки от неё АВ = 10 и АС =17. Перпендикуляр из точки А на плоскость обозначим как AD. Проекции отрезков, которые надо найти BD и CD

По теореме Пифагора AB^2 = BD^2 + AD^2 и AС^2 = СD^2 + AD^2. От AD можно избавиться. И значения АВ и АС подставить. 100 = BD^2 + 289 - CD^2. Или CD^2 - BD^2 =189. Слева разность квадратов. Причём известна разность проекций. Можем получить СD+BD = 21. Сумму знаем, разность знаем. Решая систему получим CD = 15, BD =6

1) Точка вне плоскости А. Проекции от отрезков ВD = 12 и СD =40. Перпендикуляр из точки А на плоскость обозначим как AD. Сами отрезки, которые надо найти АB и АC

По теореме Пифагора AB^2 = BD^2 + AD^2 и AС^2 = СD^2 + AD^2.

От AD можно избавиться. И значения ВD и СD подставить. AB^2 =144 + AС^2 - 1600. Всё решается точно так же, как в предыдущей задаче. AB^2 - AС^2 = 1456 -> AB + AС = 56 -> АВ =41; АС = 15

2) Точка вне плоскости А. Проекции от отрезков ВD = 1 и СD =7. Перпендикуляр из точки А на плоскость обозначим как AD. Сами отрезки, которые надо найти АB и АC относятся. как 1 : 2

По теореме Пифагора AB^2 = BD^2 + AD^2 и AС^2 = СD^2 + AD^2.

От AD можно избавиться. И значения ВD и СD подставить. AB^2 =1 + AС^2 - 49

И ещё знаем, что 2АВ = АС, то есть 3 АВ^2 = 48 -> AB = 4, АС = 8

4,6(98 оценок)
Ответ:
blondi29
blondi29
13.11.2020

13 судей

Пошаговое объяснение:

Число голосов, поданных за Петуха и Ворону, не может быть больше 15 + 13 = 28. Аналогично за Ворону и Кукушку в сумме не может быть подано больше 18 + 13 = 31 голоса, а за Кукушку и Петуха – не больше 20 + 13 = 33 голосов. Сложив эти три результата, мы оценим сверху удвоенное число всех голосов. Таким образом, число членов жюри не больше (28 + 31 + 33) : 2 = 46. С другой стороны, из первого объявления Дятла оно не меньше

59 – 13 = 46. Тем самым, членов жюри ровно 46, а все неравенства на самом деле обращаются в равенства. Число проголосовавших за Ворону можно найти как разность общего числа членов жюри и суммы проголосовавших за Кукушку и Петуха: 46 – 33 = 13 голосов.

ответ

13 судей.

4,4(62 оценок)
Это интересно:
Новые ответы от MOGZ: Математика
logo
Вход Регистрация
Что ты хочешь узнать?
Спроси Mozg
Открыть лучший ответ