М
Молодежь
К
Компьютеры-и-электроника
Д
Дом-и-сад
С
Стиль-и-уход-за-собой
П
Праздники-и-традиции
Т
Транспорт
П
Путешествия
С
Семейная-жизнь
Ф
Философия-и-религия
Б
Без категории
М
Мир-работы
Х
Хобби-и-рукоделие
И
Искусство-и-развлечения
В
Взаимоотношения
З
Здоровье
К
Кулинария-и-гостеприимство
Ф
Финансы-и-бизнес
П
Питомцы-и-животные
О
Образование
О
Образование-и-коммуникации
MarryDied
MarryDied
30.11.2021 04:33 •  Математика

2cos²x-3cos x +1=0 нужно подробное решение с объяснением того, почему использовали ту или иную формулу

👇
Ответ:
You666
You666
30.11.2021
2cos^2x-3cosx+1=0

делаем замену переменной

cosx=y
Получаем квадратное уравнение

2y^2-3y+1=0

решаем его, например, через дискриминант

D=b^2-4ac=(-3)^2-4*2*1=9-8=1

D>0, значит 2 корня.

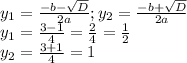
y_{1} = \frac{-b- \sqrt{D} }{2a} ; y_{2} = \frac{-b+ \sqrt{D} }{2a} \\ y_{1} = \frac{3-1}{4} = \frac{2}{4} = \frac{1}{2} \\ y_{2} = \frac{3+1}{4} = 1

подставляем найденный корни в уравнение (замену) cosx=y:
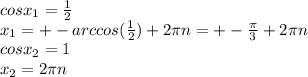
cosx_1= \frac{1}{2} \\ x_1=+-arccos( \frac{1}{2} )+2 \pi n=+- \frac{ \pi }{3}+2 \pi n \\ 
cosx_2=1 \\ x_2=2 \pi n
n∈Z
4,5(71 оценок)
Открыть все ответы
Ответ:
Андрейydarnik
Андрейydarnik
30.11.2021

а) 1 дм = 10 см, 1 м = 100 см, 1 см = 10 мм

12 дм = 12 * 10 = 120 см

9 дм 6 см = 9 * 10 + 6 = 96 см

1 м 88 см 130 мм = 1 * 100 + 88 + 130 : 10 = 100 + 88 + 13 = 201 см

б) 1 м = 10 дм, 1 дм = 10 см, 1 дм = 100 мм

8 м = 8 * 10 = 80 дм

24 м = 24 * 10 = 240 дм

1 м 6 дм = 1 * 10 + 6 = 16 дм

70 см = 70 : 10 = 7 дм

230 мм = 230 : 100  = 2.3 дм

в)  1 см = 10 мм, 1 дм = 100 мм

5 см = 5 * 10 = 50 мм

19 см = 19 * 10 = 190 мм

3 см 6 мм = 3 * 10 + 6 = 36 мм

11 дм = 11 * 100 = 1100 мм

в) 1 км = 1000 м

2000 м = 2000 : 1000 = 2 км

14000 м = 14000 : 1000 = 14 км

4,7(42 оценок)
Ответ:
muzaffarahmedov
muzaffarahmedov
30.11.2021
Интересная логическая задача, решать которую надо с конца. Тогда выяснится, что младший получил последние 3 руб. и половину остатка, откуда следует, что 3 руб. это и есть половина, значит, младший получил 6 руб., а второй остаток составил 6 руб. Эти 6 руб. плюс один рубль (7 руб.), составляют сумму, которую получил средний и, одновременно, половину первого остатка, а поэтому первый остаток равен 14 руб. Добавив к нему ещё один рубль, полученный старшим, получим, что половина первого остатка составляет 15 руб. и, значит, отец раздал детям 30 рублей. 
4,6(44 оценок)
Это интересно:
Новые ответы от MOGZ: Математика
Полный доступ к MOGZ
Живи умнее Безлимитный доступ к MOGZ Оформи подписку
logo
Вход Регистрация
Что ты хочешь узнать?
Спроси Mozg
Открыть лучший ответ