М
Молодежь
К
Компьютеры-и-электроника
Д
Дом-и-сад
С
Стиль-и-уход-за-собой
П
Праздники-и-традиции
Т
Транспорт
П
Путешествия
С
Семейная-жизнь
Ф
Философия-и-религия
Б
Без категории
М
Мир-работы
Х
Хобби-и-рукоделие
И
Искусство-и-развлечения
В
Взаимоотношения
З
Здоровье
К
Кулинария-и-гостеприимство
Ф
Финансы-и-бизнес
П
Питомцы-и-животные
О
Образование
О
Образование-и-коммуникации
maratkaa337
maratkaa337
13.07.2020 12:20 •  Математика

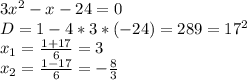
3x2-x-24=0 решите уравнение через дискриминант

👇
Ответ:
саша4277
саша4277
13.07.2020
D = 1 + 4*3*24 = 1 + 288 = 289 = 17²

x₁ = (1 - 17)/6 = -8/3

x₂ = (1 + 17)/6 = 3

ответ: -8/3 и 3
4,7(75 оценок)
Ответ:
Yuran3
Yuran3
13.07.2020
3x^{2}-x-24=0 \\ D=1-4*3*(-24)=289=17^2 \\ x_1= \frac {1+17}{6}=3 \\ x_2= \frac {1-17}{6} = - \frac {8}{3}
4,6(32 оценок)
Открыть все ответы
Ответ:
Кись123
Кись123
13.07.2020
Достижения культуры Древнего Египта действительно значительны: папирус, монументальная каменная архитектура, пирамиды, скульптурный портрет, познания в астрономии, медицине и математике. 
Согласно историческим документам, Египет считается первой цивилизацией Древнего Востока, где были сосредоточены известные в древнем мире знания в области медицины, фармации и химии. На основе существующих четырех основных элементов мира (воздух, вода, земля и огонь) жители Древнего Египта разработали учение о четырех основных соках, являющихся носителями этих элементов, составляющих человеческий организм и обуславливающих его здоровье или болезнь. Одновременно возникло учение о пневме, согласно которому в воздухе содержатся невидимые и невесомые вещества, при вдохе проникающие в легкие и сердце и затем разгоняемые по всему телу. Египтяне верили, что нормальное состояние крови и пневмы предопределяет здоровье человека, а нарушение состояния этих веществ приводит к болезни. С данными воззрениями были связаны и основные методы лечения египетских докторов, направленные на удаление из организма образовавшихся в нем гнилостных веществ, дурной крови и паразитов. Это достигалось назначением препаратов, которые вызывали рвоту, опорожнение кишечника, мочеотделение, потовыделение.
4,8(90 оценок)
Ответ:
Натама
Натама
13.07.2020
Промышленное искусство представляет собой специфическую форму человеческой деятельности, цель которого состоит в эстетической организации окружающей человека предметной среды, в эстетическом преобразовании орудий труда и вещей, которыми пользуется человек и которые органически входят в его жизнь» . В сферу промышленного искусства входят орудия труда, средства транспорта, всевозможные инструменты и оборудование научно-исследовательских институтов, пишущие устройства, спортивный инвентарь, музыкальные инструменты, медицинское оборудование, предметы быта и так далее.

Техническая эстетика (греч. — мастерство искусства) — теоретическая основа дизайна; научная дисциплина, изучающая социально-культурные, технические и эстетические проблемы формирования гармоничной предметной среды, создаваемой для жизни и деятельности человека средствами промышленного производства

Диза́йн (от англ. design — проектировать, чертить, задумать, а также проект, план, рисунок) — деятельность по проектированию эстетических свойств промышленных изделий («художественное конструирование»), а также результат этой деятельности (например, в таких словосочетаниях, как «дизайн автомобиля»)
4,5(49 оценок)
Это интересно:
Новые ответы от MOGZ: Математика
logo
Вход Регистрация
Что ты хочешь узнать?
Спроси Mozg
Открыть лучший ответ