М
Молодежь
К
Компьютеры-и-электроника
Д
Дом-и-сад
С
Стиль-и-уход-за-собой
П
Праздники-и-традиции
Т
Транспорт
П
Путешествия
С
Семейная-жизнь
Ф
Философия-и-религия
Б
Без категории
М
Мир-работы
Х
Хобби-и-рукоделие
И
Искусство-и-развлечения
В
Взаимоотношения
З
Здоровье
К
Кулинария-и-гостеприимство
Ф
Финансы-и-бизнес
П
Питомцы-и-животные
О
Образование
О
Образование-и-коммуникации
maschachmil
maschachmil
18.10.2021 09:33 •  Математика

Свопросом по . вычислить интегралы методом замены переменной интеграл x2(x3+9)в степени 3dx;

👇
Ответ:
Keklo12
Keklo12
18.10.2021

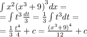
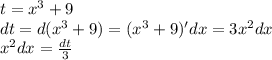
\int {x}^{2} {( {x}^{3} + 9) }^{3}dx

Делаем замену переменной

t = {x}^{3} + 9 \\ dt = d( {x}^{3} + 9) = ( {x}^{3} + 9)^{ \prime} dx = 3 {x}^{2}dx \\ {x}^{2}dx = \frac{dt}{3}

Подставляем в интеграл

\int {x}^{2} {( {x}^{3} + 9) }^{3}dx = \\ = \int{ {t}^{3}} \frac{dt}{3} = \frac{1}{3} \int{ {t}^{3} }dt = \\ = \frac{1}{3} \frac{ {t}^{4} }{4} + c =\frac{ {( {x}^{3} + 9)}^{4} }{12} + c

4,5(31 оценок)
Открыть все ответы
Ответ:
Angelina922
Angelina922
18.10.2021
1) Наводнением называется явление обширного затопления местности, при поднятии уровня воды в озерах, морях, реках. Причинами выхода воды из берегов морей, озер и рек могут быть такие процессы, как значительное выпадение осадков, чрезмерная скорость таяния ледников и снегов, а также нагон воды ветром на побережье. Наводнение приносит огромный ущерб человечеству, так как потоки воды заполняют все и несут смерть и разрушения. Угроза жизни прямо пропорциональна интенсивности наводнения. Вода и водные потоки имеют огромную силу и сносят на пути все. Как правило, при обширном затоплении начинаются процессы распространения инфекционных заболеваний, которые также могут в конечном итоге привести к смерти. 
2) Перед уходом из дома выключите электричество и газ, погасите огонь в отопительных печах, закрепите все плавучие предметы, находящиеся вне зданий, или разместите их в подсобных помещениях. Если позволяет время, ценные домашние вещи переместите на верхние этажи или чердак жилого дома. Закройте окна и двери, при необходимости и наличии времени забейте окна и двери первых этажей.Если эвакуация не была организована, ждите прибытия или спада воды на верхних этажах и крышах зданий, на деревьях или других возвышающихся предметах.
4,5(97 оценок)
Ответ:
VERIGINGUIGORY
VERIGINGUIGORY
18.10.2021

Защита населения от последствий селей осуществляется различными Организационно-хозяйственные и охранно-ограничительные меры предусматривают запрещение строительства промышленных предприятий, жилых зданий, железных и автомобильных дорог в руслах селевых бассейнов без организации надёжной защиты от селевых потоков.


К защитным мерам относится строительство противоселевых инженерных и гидротехнических сооружений.


Противоселевые сооружения по характеру воздействия на селевые потоки подразделяются на селерегулирующие, селеделительные, селесдерживающие и селетрансформирующие.


Такие сооружения предназначены для задержания селевых выносов выше защищаемого объекта, для отвода селевого потока от объекта, а также для защиты объекта от ударного воздействия селевого потока.


Задержание селевых выносов может осуществляться устройством запруд, плотин (дамб) или котлованов-наносоуловителей. Запруды могут устраиваться из камня, бетона, железобетона, металлов и других материалов в виде глухих или решетчатых стенок, перегораживающих русло. Селе-сдерживающие плотины предназначены для удержания большого объёма твёрдого стока селя. Опорная поверхность плотины располагается перпендикулярно поверхности склона горы. Котлованы-наносоуловители уменьшают скорость селевого потока.


Возводятся и простейшие сооружения: валы-канавы и террасы с широким основанием. Валы-канавы располагают строго горизонтально на склонах крутизной не более 10°. На склонах крутизной от 10 до 30° устраивают ступенчатые террасы шириной 3,5—4 м.

4,6(43 оценок)
Это интересно:
Новые ответы от MOGZ: Математика
logo
Вход Регистрация
Что ты хочешь узнать?
Спроси Mozg
Открыть лучший ответ