М
Молодежь
К
Компьютеры-и-электроника
Д
Дом-и-сад
С
Стиль-и-уход-за-собой
П
Праздники-и-традиции
Т
Транспорт
П
Путешествия
С
Семейная-жизнь
Ф
Философия-и-религия
Б
Без категории
М
Мир-работы
Х
Хобби-и-рукоделие
И
Искусство-и-развлечения
В
Взаимоотношения
З
Здоровье
К
Кулинария-и-гостеприимство
Ф
Финансы-и-бизнес
П
Питомцы-и-животные
О
Образование
О
Образование-и-коммуникации

Сделайте ! найдите корни уравнений: 1) х+2 3/13= 10 8/39 2)у+8 7/12= 10 5/24 кому не понятно вот: х+ 2 целые 3/13= 10 целых 8/39 2) у+ 8 целых 7/12= 10 целых 5/24 50 сфотографируйте желательно если нет, то чтобы было понятно заранее !

👇
Ответ:
Tyan789
Tyan789
23.09.2021
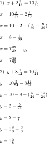
1)\; \; x+2 \frac{3}{13}=10\frac{8}{39}\\\\x=10\frac{8}{39}-2 \frac{3}{13}\\\\x=10-2+(\frac{8}{39}- \frac{9}{39})\\\\x= 8-\frac{1}{39}\\\\x=7\frac{39}{39}-\frac{1}{39} \\\\x=7 \frac{38}{39} \\\\2)\; \; y+8\frac{7}{12}=10 \frac{5}{24}\\\\y=10\frac{5}{24}-8 \frac{14}{24} \\\\y=10-8+( \frac{5}{24}-\frac{14}{24} )\\\\y= 2-\frac{9}{24}\\\\y=2-\frac{3}{8}\\\\y=1\frac{8}{8}-\frac{3}{8}\\\\y=1\frac{5}{8}
4,6(85 оценок)
Открыть все ответы
Ответ:
ievlevaaleksanra
ievlevaaleksanra
23.09.2021
Путь композитора Чайковский начал в середине 60-х гг.. В 70-х гг. он был уже автором многих выдающихся сочинений , в том числе оперы «Евгений Онегин», балета «Лебединое озеро», четырех симфоний, программно-симфонических произведений «Ромео и Джульетта» и «Франческа да Римини». Но наивысшего расцвета достигло его дарование в 80-х и в 90-х гг., когда им были созданы такие шедевры как балет «Спящая красавица», опера «Пиковая дама», Пятая и Шестая симфонии. Чайковский – художник-реалист. Он искренне и правдиво рассказывает о скорби и радости простого человека, ярко воплощает в музыке его возвышенно-прекрасную мечту о счастье. Чутко и глубоко раскрывает Чайковский характеры людей, богатый мир их душевных переживаний.

По характеру своего дарования Чайковский, прежде всего, лирик и драматург-психолог.

Начиная с первых лет творчества, ведущее место в его творчестве заняла тема борьбы человека за свое право на счастье. Такая тема была очень актуальна для русского искусства 60-70 гг. Чайковский – один из самых выдающихся в мировом искусстве композиторов-мелодистов. Широким песенным развитием определяется во многом и форма его сочинений. Музыке его присуща также большая декламационно-речевая выразительность, во многом продолжающая традиции Даргомыжского.

В его сочинениях сказывается влияние городской песни, и особенно городского бытового романса. В музыкальном языке Чайковского ощутимо влияние русской романсной культуры первой половины XIX века – творчества Гурилева, Варламова, Алябьева, Глинки и Даргомыжского. В произведениях Чайковского часто звучат танцевальные ритмы, особенно ритмы вальса, играющие большую роль не только в его ансамблях, но и в симфониях, операх, камерно-инструментальной и вокальной музыке.

Одновременно Чайковский чутко воспринял, подобно Глинке, песенную и танцевальную мелодику других народов: украинского, итальянского, французского. На его творчество оказали значительное воздействие оперная драматургия Моцарта и Бизе, симфонизм Бетховена и композиторов-романтиков, немецкая песенная лирика первой половины 19 в., особенно Шумана. Но, творчески воспринимая разнообразные традиции зарубежной музыки, Чайковский всегда придавал своим сочинениям ярко выраженный русский характер. Чайковский был подлинным новатором. Продолжив традиции Даргомыжского в области лирико-психологической музыкальной драмы, он впервые в русской музыке широко раскрыл возможности этого жанра, а также затронул сферу лирико-комической оперы.Чайковский создал новый тип симфонии, которую можно назвать симфонией-драмой и симфонией-трагедией, развил жанр одночастной программной увертюры и симфонической поэмы. Он явился основоположником русского классического балета, внес яркий вклад в область фортепианного и скрипичного концерта, лирического романса и фортепианной миниатюры. Наряду с Бородиным он заложил основы дальнейшего развития квартетного жанра. Чайковским создано 10 опер (Воевода , Ундина (уничтожена Чайковским), Опричник , Кузнец Вакула, Евгений Онегин, Орлеанская дева, Мазепа, Черевички (2-я редакция оперы Кузнец Вакула), Чародейка , Пиковая дама, Иоланта), (Лебединое озеро, Спящая красавица, Щелкунчик) , 7 симфоний (в том числе программная симфония «Манфред»), 4 симфонические сюиты, ряд программно-симфонических увертюр, фантазий, инструментальных концертов, свыше 100 романсов, большое количество фортепианных произведений. Обращался Чайковский и к сфере кантатно-хорового творчества, писал музыку к театральным спектаклям. И в каждой из этих областей он оставил классические образцы национального музыкального искусства.
4,4(62 оценок)
Ответ:
termos68
termos68
23.09.2021

Родился Петр Ильич Чайковский 25 апреля (7 мая) 1840 года в городе Воткинск в многодетной семье инженера. В доме Чайковского часто звучала музыка. Его родители увлекались игрой на фортепиано, органе.


В биографии Чайковского важно отметить, что уже в возрасте пяти лет он уже умел играть на фортепиано, еще через три года превосходно играл по нотам. В 1849 году семья Чайковских переехала в Алапаевск, а затем в Санкт-Петербург.


Обучение

Первоначальное образование Чайковским было получено дома. Затем Петр два года занимался в пансионе, после чего – в училище правоведения Петербурга. Творчество Чайковского в этот период проявлялось в факультативных занятиях музыкой. Смерть матери в 1862 году сильно повлияла на ранимого ребенка. После окончания училища в 1859 году Петр стал служить в Департаменте юстиции.


В свободное время часто посещал оперный театр, особенно сильное впечатление на него оказали постановки опер Моцарта и Глинке.

В 1822-1823 годах Глинка написал широко известные романсы и песни: «Не искушай меня без нужды» на слова Е. А. Баратынского, «Не пой, красавица, при мне» на слова А. С. Пушкина и другие. В эти же годы он познакомился с известными Василием Жуковским, Александром Грибоедовым и другими.

После путешествия на Кавказ отправляется в Италию, Германию. Под влиянием итальянских композиторов Беллини, Доницети Глинка меняет свой музыкальный стиль. Затем им велись работы над полифонией, композицией, инструментовкой.


Вернувшись в Россию, Глинка с усердием работал над национальной оперой «Иван Сусанин». Её премьера в 1836 году в Большом театре Петербурга обернулась громадным успехом. Премьера следующей оперы «Руслан и Людмила» в 1842 году уже не была такой громкой. Сильная критика подтолкнула композитора к отъезду, он покинул Россию, отправившись во Францию, Испанию, и лишь в 1847 году вернулся на родину.


Множество произведений в биографии Михаила Глинки были написаны во время заграничных поездок. С 1851 года в Петербурге он преподавал пение, подготавливал оперы. Под его влиянием формировалась русская классическая музыка.


Смерть и наследие

Глинка уехал в Берлин в 1856 году, где и скончался 15 февраля 1857 года. Похоронили композитора на лютеранском Троицком кладбище. Его прах был перевезен в Санкт-Петербург и там перезахоронен.



Песен и романсов Глинки насчитывается около 20. Также он написал 6 симфонических, несколько камерно-инструментальных произведений, две оперы.


Наследие Глинки для детей включает романсы, песни, симфонические фантазии, а также оперу «Руслан и Людмила», которая стала еще более сказочной после воплощения ее в музыке великим композитором.


Музыкальный критик В. Стасов кратко заметил, что Глинка стал для русской музыки тем, кем стал Александр Пушкин для русского языка: они оба создали новый русский язык, но каждый в своей сфере искусства.


Пётр Чайковский дал такую характеристику одному из произведений Глинки: “Вся русская симфоническая школа, подобно тому как весь дуб в жёлуде, заключена в симфонической фантазии „Камаринская“”


Музей Глинки расположен в Ново селе, в родной усадьбе композитора. Памятники Михаилу Ивановичу Глинке были установлены в Болонье, Киеве, Берлине. Его именем также была названа Государственная академическая капелла в Санкт-Петербурге.

4,6(29 оценок)
Новые ответы от MOGZ: Математика
logo
Вход Регистрация
Что ты хочешь узнать?
Спроси Mozg
Открыть лучший ответ