М
Молодежь
К
Компьютеры-и-электроника
Д
Дом-и-сад
С
Стиль-и-уход-за-собой
П
Праздники-и-традиции
Т
Транспорт
П
Путешествия
С
Семейная-жизнь
Ф
Философия-и-религия
Б
Без категории
М
Мир-работы
Х
Хобби-и-рукоделие
И
Искусство-и-развлечения
В
Взаимоотношения
З
Здоровье
К
Кулинария-и-гостеприимство
Ф
Финансы-и-бизнес
П
Питомцы-и-животные
О
Образование
О
Образование-и-коммуникации
Тимур0403
Тимур0403
19.07.2022 07:04 •  Математика

Найти производную функции ln(x^2+sqrt(a^4+1)) подробное решение

👇
Ответ:
NICHEGOHOROSHEGO1
NICHEGOHOROSHEGO1
19.07.2022
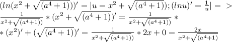
(ln(x^2+ \sqrt{(a^4+1)}))' = |u=x^2+ \sqrt{(a^4+1)}); (lnu)'= \frac{1}{u}| =\ \textgreater \ \\
 \frac{1}{x^2+ \sqrt{(a^4+1)})}* (x^2+ \sqrt{(a^4+1)})'= \frac{1}{x^2+ \sqrt{(a^4+1)})}* \\
*(x^2)'+ (\sqrt{(a^4+1)})'=\frac{1}{x^2+ \sqrt{(a^4+1)})}*2x+0= \frac{2x}{x^2+ \sqrt{(a^4+1)}}
4,5(26 оценок)
Открыть все ответы
Ответ:
chronicempty
chronicempty
19.07.2022
1)скорость лодки - х
плот плыл 11 часов (44/4)
лодка на час меньше 11-1=10 время лодки в пути
75/(х+4)+75/(х-4)=10 (время в пути лодки по течению и против течения, соответственно.
75(х+4+х-4)/(х^2 - 16)=10
150x=10x^2-160
x^2-15x-16=0
D=225+64=289
x1=(15+17)/2=16
x2=-1 - скорость не может быть отрицательной
ответ: х=16 км/ч

2) х- деталей в час второй работник
х+5 дет/ч перв работ
180/х - время выполн заказа вторым раб
180/(х+5) время выполнения заказа первым раб
180/х-180/(х+5)=3
(180х+900-180х)/(x^2+5x) =3
x^2+5x=300
D=25+1200=1225
x1=(-5+35)/2=15
x2= (-5-35)/2= -20 - не может быть
ответ 15 деталей час.

3)V1 объем первого раствора, в нём соли 0,4V1
V2 объем второго раствора, в нём соли 0,48V2
V1+V2 объем получившегося раствора, в нём соли 0,42(V1+V2)
0.4V1+0.48V2=0.42(V1+V2)
0.06V2=0.02V1
V1/V2=3/1
ответ : растворы взяты в пропорции 3:1

4) х длина пасс. поезда
за 1 минуту голова пассажирского поезда расстояние 1666 2/3 метра ( 100 *1000/ 60)
за это же время голова товарного преодолела 666 2/3 метра (40*1000/60)
голова пассажирского, встретившись с хвостом товарного, преодолела весь товарный, свой состав и часть пути вместе с товарным.
1666 2/3= 666 2/3+750+х
х=250 метров
ответ: 250 м

5)время первого расстояния в пути =300/60=5 ч
время второго отрезка пути 300/100 = 3 ч
время третьего отрезка в пути = 300/75 = 4 ч
т.е. 900 км машина преодолела за 12 часов
Vср=900/12=75 км/ч

ответ: 75 км/ч
4,4(98 оценок)
Ответ:
Daliloshka
Daliloshka
19.07.2022
Степени в скобках написаны. 1см=10мм;
Чтобы найти мм, надо см умножить на 10.
2•10(^-6)см= 2•10(^-6) • 10(^1)= 2•10(^-6+1)мм= 2•10(^-5)мм= 2• 1/10(^5)= 2/100000мм=0,00002мм

Или так
2•10(^-6)см= 2• 1/10(^6) см•10= 2• 1/10(^6) см •10(^1)= 1/10(^5)мм= 2• 1/100000мм = 2/100000мм= 0,00002мм

Как считать; если степень минус, то это число дробь; 3^-2 это 1/3^2 = 1/(3•3)= 1/9; 10^-2 = 1/10^2= 1/(10•10)=1/100=0,01.

Правило. Если одинаковое основание (число или буква) в умножении, то степени складываем например 5^2•5^7= 5^ (2+7)= 5^9;
Или с минусом 5^-2 •5^4= 5^(-2+4)=2

или с минусом дробь делаем так 5^-2 • 5^4= 1/5^2• 5^4= 5^2. Степени как числа сократились 2 и 4 на два.
4,4(98 оценок)
Это интересно:
Новые ответы от MOGZ: Математика
Полный доступ к MOGZ
Живи умнее Безлимитный доступ к MOGZ Оформи подписку
logo
Вход Регистрация
Что ты хочешь узнать?
Спроси Mozg
Открыть лучший ответ