М
Молодежь
К
Компьютеры-и-электроника
Д
Дом-и-сад
С
Стиль-и-уход-за-собой
П
Праздники-и-традиции
Т
Транспорт
П
Путешествия
С
Семейная-жизнь
Ф
Философия-и-религия
Б
Без категории
М
Мир-работы
Х
Хобби-и-рукоделие
И
Искусство-и-развлечения
В
Взаимоотношения
З
Здоровье
К
Кулинария-и-гостеприимство
Ф
Финансы-и-бизнес
П
Питомцы-и-животные
О
Образование
О
Образование-и-коммуникации
dimaghhf
dimaghhf
26.06.2021 11:49 •  Математика

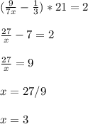
Решите уравнение, (1 2/7x-1/3)×21=2

👇
Ответ:
19792001
19792001
26.06.2021
( \frac{9}{7x} - \frac{1}{3} )*21=2 \\ \\ \frac{27}{x} -7=2 \\ \\ \frac{27}{x} =9 \\ \\ x=27/9 \\ \\ x=3
4,5(92 оценок)
Открыть все ответы
Ответ:
Дэникс1
Дэникс1
26.06.2021
Например, в зданиях, построенных из материалов с повышенным содержанием радионуклидов, радиационный фон увеличивается. Аналогичный эффект имеет место при использовании в бытовых целях природного газа, содержащего, как правило, радон. Повышается радиационный фон в условиях полета на самолете. Повышенный радиационный фон может возникнуть и близ угольных теплоэлектростанций, поскольку при сгорании угля в атмосферу выбрасываются различные радионуклиды. Такого рода естественный радиационный фон называется технологически повышенным.
4,4(28 оценок)
Ответ:
gimnastikgirla
gimnastikgirla
26.06.2021
Например, в зданиях, построенных из материалов с повышенным содержанием радионуклидов, радиационный фон увеличивается. Аналогичный эффект имеет место при использовании в бытовых целях природного газа, содержащего, как правило, радон. Повышается радиационный фон в условиях полета на самолете. Повышенный радиационный фон может возникнуть и близ угольных теплоэлектростанций, поскольку при сгорании угля в атмосферу выбрасываются различные радионуклиды. Такого рода естественный радиационный фон называется технологически повышенным.
4,5(65 оценок)
Новые ответы от MOGZ: Математика
logo
Вход Регистрация
Что ты хочешь узнать?
Спроси Mozg
Открыть лучший ответ