Вход
Регистрация
Спроси Mozg AI
М
Молодежь
К
Компьютеры-и-электроника
Д
Дом-и-сад
С
Стиль-и-уход-за-собой
П
Праздники-и-традиции
Т
Транспорт
П
Путешествия
С
Семейная-жизнь
Ф
Философия-и-религия
Б
Без категории
М
Мир-работы
Х
Хобби-и-рукоделие
И
Искусство-и-развлечения
В
Взаимоотношения
З
Здоровье
К
Кулинария-и-гостеприимство
Ф
Финансы-и-бизнес
П
Питомцы-и-животные
О
Образование
О
Образование-и-коммуникации
.....больше.....
..меньше..
denasty
05.06.2022 18:36 •
Математика
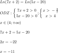
In(7x+2)=in(5x-20) log5^2x-log5x=0 log3(3x-1)> 3
👇
Увидеть ответ
Ответ:
1234567890825
05.06.2022
1)
решений нет
х=-11 не входит в ОДЗ
2)
ответ х=1 или х=5
3)
ответ x∈ (9¹/₃; +∞)
4,8
(32 оценок)
Открыть все ответы
Ответ:
ashbringer12332
05.06.2022
1) 6/1 + 1/х = 2/5 1/х = 2/5 - 6 1/х = 2/5 - 30/5 1/х = - 28/5 1= -28/5х 1: (-28/5)=х 1*(-5/28) =х х = - 5/28.
4,4
(32 оценок)
Ответ:
riad170310
05.06.2022
1) 6/1 + 1/х = 2/5 1/х = 2/5 - 6 1/х = 2/5 - 30/5 1/х = - 28/5 1= -28/5х 1: (-28/5)=х 1*(-5/28) =х х = - 5/28.
4,7
(25 оценок)
Это интересно:
О
Образование
06.01.2021
Клюква стоит 250 рублей за кг, а малина 200....
О
Образование
16.03.2023
Решить систему уравнений x2 + y2 + xy = 3...
О
Образование
05.08.2020
Решить систему уравнений x2 + xy +y2 = 13...
О
Образование
06.04.2022
В треугольнике АВС проведена биссектриса АК...
О
Образование
11.03.2020
Водитель ехал с постоянной скоростью из города А в город Б...
О
Образование
27.04.2022
Первые 300 км автомобиль ехал со скоростью 60 км/час...
О
Образование
02.06.2023
В треугольнике АВС точка D на стороне АВ...
О
Образование
21.07.2020
Из разных городов, расстояние между которыми 600 км...
О
Образование
29.01.2020
Из пункта А в пункт B, расстояние между которыми 84 км...
Х
Хобби-и-рукоделие
21.02.2021
Правила и техника игры в карточную игру Скорость...
Новые ответы от MOGZ: Математика
Nadezhda136
10.04.2020
Вистов липы 6 м, а сосна на 28 м выше. во сколько раз сосна выше липы?...
ivanpanyushkin1
10.04.2020
Сделать -х+7=-7х -2х+6=-9х -10х-8=7х -10х+7=-2 10-2х=4х-3 -3-6х=7х+3 -5-10х=4х+5 8-4х=8х+3...
dimaonisko
10.04.2020
1% рубля - 1% дециметра- 10% минуты выраженные в секундах ,...
Pavelilik
10.04.2020
Составить выражение к : в бочке 80 литров воды. из неё наполнили 2 больших ведра по 15 литров в каждом. остальную воду перелили поровну в 5 маленьких вёдер. сколько литров воды налили...
камила20053
10.04.2020
Ширина прямо угольник составляет четвертую часть его длины.вычисли площадь этого прямо угольника если его длина 8см...
andrwy1229
10.04.2020
Выполнить вычисление 330030-8457*17+54939,40*(600700-70372): 57,84кг709г+18кг285г,8дм54см-5дм 60см...
juter
10.04.2020
Обчисли усно, запиши відповідь. знайди суму чисел 23 і 50 знайди різницю чисел 87 і 56 збільш число 30 на 38 зменш число 72 на 12 перший доданок 26 , другий 3. знайди суму. зменшуване...
Anara2017
18.08.2020
Решите системой ученик за 3 тетради и 2 карандоша заплатил 66 тенге. другой ученик за такиежи 2 тетради и 4 карандаша заплатил в 2 тенге. сколько стоит одна тетрадь и один карандаш...
shodruz28071998
18.08.2020
На спортивном празднике в соревнованиях по бегу приняли участие 6 школьников,по прыжкам в высоту-4,а по прыжкам в длину -5 школьников.сколько всего школьников соревновались на спортивном...
anel3103
18.08.2020
Длинна одного звена ломанной 4 сантиметра их всего 3 сколько в сумме это будет в дециметрах...
MOGZ ответил
Годы правления , основные направления деятельности, владимир мономах, юрий долгорукий,...
Сколько фотонов испускает лампа мощностью 90 вт за 1 секунду при длине световой...
Связь при которой образована первичная связь структуры белка...
Ln the morning l go to the bathroom and wash...
Даны вещества: вода,оксид меди(||) , сера . надо получить : 1)водород 2)кислород...
Решите. write what you will do/won`t do. 1) if it snows, i 2) if it rains, i 3)if...
Назовите жанр стихотворения вольность...
Главные герои рассказов: приёмыш -мамин-сибиряк. серая шейка -мамин-сибиряк. ванька...
Решить.какие цифры нужно вставить в окошко.1[]: []=3(ост.[]) 2[]: 3=[](ост.2) []6:...
Составьте 3 примера(например 784+222=1006 только всё это надо записать числами....
Полный доступ к MOGZ
Живи умнее Безлимитный доступ к MOGZ
Оформи подписку
О НАС
О нас
Блог
Условия пользования
Авторское право
Политика конфиденциальности
Предпочтения cookie-файлов
ПОМОЩЬ
Зарегистрируйся
Центр помощи
Центр безопасности
App
Вход
Регистрация
Что ты хочешь узнать?
Спроси Mozg
Открыть лучший ответ
×
решений нет
х=-11 не входит в ОДЗ
2)
ответ х=1 или х=5
3)
ответ x∈ (9¹/₃; +∞)