1) а) -3<0
б) +8>0
в) -11<+8
г) -12<-9
д) +30<+40
е) -30>-40
2) 43
3) а) |6| < |-11|
б) |18| = |-18|
в) |-9| < |10|
г) -(20) < 20
Если рассматривать положительные числа (со знаком "+"), то чем число ближе к 0, тем оно меньше, а если отрицательные числа (со знаком "-"), то чем число ближе к 0, тем оно больше.
Положительное число всегда больше отрицательного.
В случае с модулями, модуль всегда равен положительному числу, то есть например |-1|=1. Получается модуль это понятие не имеющее знаков, и модуль как любого отрицательного числа, так и любого положительного будет положительным.
Пошаговое объяснение:
1) (x-3)2 – 8 = 2х - 6 - 8 = 2х - 14
2) 12х - (х + 6) = 12х - х - 6 = 11х -6
3) (2а – 3b) - 4а(а – 6b) = 2а - 3b - 4a² + 24 ab
4) (2x – 3y)+ (4х + 2у) = 2х - 3у + 4х + 2у = 6х -у
5) (х – 5) – хх + 3) = х - 5 - х² + 3 = х - х² - 2
6) (6а – b) – (9a – b)(4а + 2b) = 6а - b - 36a² - 18 ab +4ab + 2b² =
6a - b - 36a² - 14ab +2b²
7) 3x(5 + х) - x(3х – 6) = 15х + 3х² - 3х² + 6х = 21х
8) (х – 2) + (x-1)(х + 1)= х - 2 + х² + х - х - 1 = х² + х - 3
9) (За – 2b)(За + 2b) - (a + 3b) = 9a² + 6ab - 6ab - 4b² - a - 3b=
= 9a² -4b² -a - 3b
10) (у – 4)(у + 3) + (у + 1) - (7-y)(7 +y)= у² + 3у -4у - 12 +у + 1- 49-7у + 7у + у²=
= 2у²- 60
Дано:
g₁=3.7 м/с²;
g₂=25 м/с²;
R₁ ≈ 3.4*10⁶ м;
R₂ ≈ 70*10⁶ м;
___________
Найти:
, 
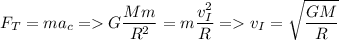
Рассмотрим тело, вращающееся вокруг планеты на небольшой высоте (h<<R), сила гравитационного притяжения сообщает телу центростремительное ускорение:
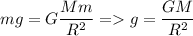
С другой стороны:
Таким образом первая космическая (круговая) скорость:
Выполним подстановку и расчет:
ответ: 3,5 км/с и 41,8 км/с.