М
Молодежь
К
Компьютеры-и-электроника
Д
Дом-и-сад
С
Стиль-и-уход-за-собой
П
Праздники-и-традиции
Т
Транспорт
П
Путешествия
С
Семейная-жизнь
Ф
Философия-и-религия
Б
Без категории
М
Мир-работы
Х
Хобби-и-рукоделие
И
Искусство-и-развлечения
В
Взаимоотношения
З
Здоровье
К
Кулинария-и-гостеприимство
Ф
Финансы-и-бизнес
П
Питомцы-и-животные
О
Образование
О
Образование-и-коммуникации

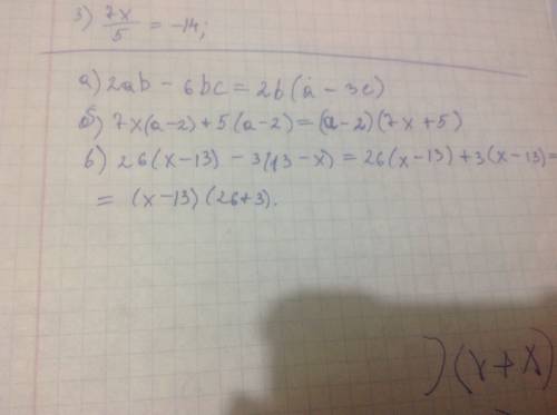
Разложите на множители а)2ab-6bc, б)7x(a-2)+5(a-2), в)26(x-13)-3(13-x)

👇
Ответ:
Nastyha1741
Nastyha1741
12.10.2022
Вот )) это очень легко . Разберись и поймёшь . Желаю удачи)))))
Разложите на множители а)2ab-6bc, б)7x(a-2)+5(a-2), в)26(x-13)-3(13-x)
4,5(49 оценок)
Ответ:
натали574
натали574
12.10.2022
А) 2b×(a-3c)
б) (7+5)×(а-2)
12(а-2)
в) 26(х-13) - 3×(-(х-13))
26(х-13) + 3(х-13)
(26+3) × (х-13)
29(х-13)
4,5(79 оценок)
Открыть все ответы
Ответ:
BloodyMary001
BloodyMary001
12.10.2022
1)При сложении дробей с одинаковым знаменателем, 
складываются числители, а знаменатель переписывают.   

          Например:   

                        6/17 + 3/17   =   9/17 ;                   1/11 + 8/11   =   9/11 . 

          В буквенном виде выражение сложения дробей выглядит так:   

                                          a/c   +   b/c     =     a+b/c . 2) При вычитании дробей с одинаковым знаменателем, 
из числителя уменьшаемого вычитают числитель вычитаемого, 
а знаменатель оставляют без изменения.   

          Например:   

                        4/23 – 3/23   =   1/23 ;                   22/31 – 10/31   =   12/31 . 

        В буквенном виде вычитание дробей записывают так:   

                                          a/c   –   b/c     =     a−b/c .   
4,4(34 оценок)
Ответ:
merhanoooI
merhanoooI
12.10.2022

введение

приобщение школьников к культуре - важное слагаемое в формировании здорового образа жизни. наряду с широким развитием и дальнейшим совершенствованием организованных форм занятий культурой, решающее значение имеют самостоятельные занятия . современные сложные условия жизни диктуют более высокие требования к биологическим и социальным возможностям человека. всестороннее развитие способностей людей с организованной двигательной активности ( тренировки) сосредоточить все внутренние ресурсы организма на достижении поставленной цели, повышает работоспособность, укрепляет здоровье. мышцы составляют 40-45% массы тела человека. за время эволюционного развития функция мышечного движения подчинила себе строение, функции и всю жизнедеятельность других органов, систем организма, поэтому он чутко реагирует как на снижение двигательной активности, так и на тяжелые, непосильные нагрузки.

систематическое, соответствующее полу, возрасту и состоянию здоровья, использование нагрузок - один из обязательных факторов здорового режима жизни. нагрузки представляют собой сочетание разнообразных двигательных действий, выполняемых в повседневной жизни, а также организованных или самостоятельных занятий культурой и спортом, объединенных термином «двигательная активность». у большого числа людей, занимающихся умственной деятельностью, наблюдается ограничение двигательной активности.

актуальность исследования

формирование основ здорового и безопасного образа жизни у обучающихся, является одной из приоритетных целей. приобретаемые на уроке культуры знания, умения и навыки должны в последующем закрепляться в системе самостоятельных форм занятий : утренней зарядке и гигиенической гимнастике до уроков, физкультминутках и подвижных играх на переменах и во время прогулок. в дополнительных тренировочных занятиях.

взаимосвязь урочной и внеурочной деятельности в спортивно-оздоровительном направлении способствует усилению оздоровительного эффекта, достигаемого в ходе активного использования учащимися освоенных знаний, способов и в физкультурно-оздоровительных мероприятиях, в режиме дня и самостоятельных занятиях .

предметом обучения культуре в учебных заведениях является двигательная деятельность с общеразвивающей направленностью. в процессе овладения этой деятельностью у обучающихся не только совершенствуются качества, но и активно развиваются сознание и мышление, творчество и самостоятельность.

совершенствоваться эти качества будут в ходе организованных занятий по спортивно-оздоровительному направлению внеурочной деятельности, что является неотъемлемой частью образовательного процесса согласно фгос ноо. образовательные учреждения должны предоставлять обучающимся возможность выбора широкого спектра занятий данного направления. таким образом, внеурочная деятельность увеличивает пространство, в котором школьники могут развивать свою творческую, познавательную и активность, реализовывать свои лучшие личностные качества.

4,4(21 оценок)
Новые ответы от MOGZ: Математика
logo
Вход Регистрация
Что ты хочешь узнать?
Спроси Mozg
Открыть лучший ответ