М
Молодежь
К
Компьютеры-и-электроника
Д
Дом-и-сад
С
Стиль-и-уход-за-собой
П
Праздники-и-традиции
Т
Транспорт
П
Путешествия
С
Семейная-жизнь
Ф
Философия-и-религия
Б
Без категории
М
Мир-работы
Х
Хобби-и-рукоделие
И
Искусство-и-развлечения
В
Взаимоотношения
З
Здоровье
К
Кулинария-и-гостеприимство
Ф
Финансы-и-бизнес
П
Питомцы-и-животные
О
Образование
О
Образование-и-коммуникации
baandas
baandas
25.12.2021 20:17 •  Математика

Решить пож-та,найти координаты и длину вектора: mn,еслиm(-1; 3; 2),n(4; -5; 0)

👇
Ответ:
LERA13511
LERA13511
25.12.2021
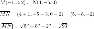
M(-1,3,2)\; ,\; \; N(4,-5,0)\\\\\overline {MN}=(4+1,-5-3,0-2)=(5,-8,-2)\\\\|\overline {MN}|=\sqrt{5^2+8^2+2^2}=\sqrt{93}
4,7(52 оценок)
Открыть все ответы
Ответ:
yanvoronovich
yanvoronovich
25.12.2021

1) 95+66 - данное выражение показывает скорость сближения поездов.

2) 95 - 66 - данное выражение показывает на сколько скорость одного поезда больше скорости другого поезда.

3) 66×6 - данное выражение показывает какое расстояние поезд, движущийся со скоростью 66 км/ч, за 6 часов.

4) 95×6 - данное выражение показывает какое расстояние поезд, движущийся со скоростью 95 км/ч, за 6 часов.

5) (66+95)×6 - данное выражение показывает расстояние между городами, из которых вышли на встречу друг другу два поезда.

(66 + 95) * 6 = 966 (км) - расстояние между городами.

ответ: 966 км.

4,5(36 оценок)
Ответ:
komlevaomg
komlevaomg
25.12.2021
1) 95+66 - данное выражение показывает скорость сближения поездов.
2) 95 - 66 - данное выражение показывает на сколько скорость одного поезда больше скорости другого поезда.
3) 66×6 - данное выражение показывает какое расстояние поезд, движущийся со скоростью 66 км/ч, за 6 часов.
4) 95×6 - данное выражение показывает какое расстояние поезд, движущийся со скоростью 95 км/ч, за 6 часов.
5) (66+95)×6 - данное выражение показывает расстояние между городами, из которых вышли на встречу друг другу два поезда.

(66 + 95) * 6 = 966 (км) - расстояние между городами.
ответ: 966 км.
4,5(60 оценок)
Это интересно:
logo
Вход Регистрация
Что ты хочешь узнать?
Спроси Mozg
Открыть лучший ответ