М
Молодежь
К
Компьютеры-и-электроника
Д
Дом-и-сад
С
Стиль-и-уход-за-собой
П
Праздники-и-традиции
Т
Транспорт
П
Путешествия
С
Семейная-жизнь
Ф
Философия-и-религия
Б
Без категории
М
Мир-работы
Х
Хобби-и-рукоделие
И
Искусство-и-развлечения
В
Взаимоотношения
З
Здоровье
К
Кулинария-и-гостеприимство
Ф
Финансы-и-бизнес
П
Питомцы-и-животные
О
Образование
О
Образование-и-коммуникации
misha0problemy
misha0problemy
26.10.2020 23:33 •  Математика

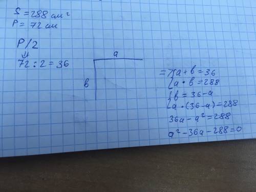
2). площадь прямоугольника равна 288 см, а его периметр – 72 см. чем
равны стороны этого прямоугольника?
38 р. решать не надо,надо модель ​

👇
Ответ:
karinaeruslanov
karinaeruslanov
26.10.2020

Пошаговое объяснение:


2). площадь прямоугольника равна 288 см, а его периметр – 72 см. чемравны стороны этого прямоугольни
4,6(80 оценок)
Открыть все ответы
Ответ:
санти3
санти3
26.10.2020
Далеко-далеко, за морями и горами была страна Цифирия. Жили в ней очень честные числа. Только Ноль отличался ленью и нечестностью. Однажды все узнали, что далеко за пустыней появилась королева Арифметика, зовущая к себе на службу. Служить королеве захотели все. Для того чтобы добраться до королевства нужно было: переправиться через реку Умножение. Рано утром цифры отправились в путь. Когда они шли по пустыне,их мучила жажда, и вдруг цифры увидели реку Умножение. Река попросила перемножиться. То, число которое стояло в паре снолём не получило воды и числа не захотели дружить с ним. Пошли они дальше и увидели реку Сложение. Река попросила их сложиться. И тут выяснилось, что Девятка не может сложится с Единицей, и Двойка не может сложится с Восьмеркой, и Тройка не может сложиться с Семеркой, и Четверка не может сложиться с Шестеркой, потому, что для этого необходим Ноль. Тогда цифры снова позвали Ноль в свою компанию и взяли над ним шефство и никогда не оставляли его одного, без присмотра. Ноль исправился и занял достойное место в числовом ряду.
4,4(42 оценок)
Ответ:
Polina4645
Polina4645
26.10.2020
      Музыка – один из видов древнейшего искусства, который разогнать тоску или же навеять грусть. Без музыки мир станет серым и нудным, ведь в ней можно найти все то, чего не хватает нашей душе!
       Музыку не зря используют в фильмах, телепередачах и театре. Ведь она очень удачно может отразить все те эмоции, которые изображают актеры на экране телевизора или сцене. Режиссеры используют этот вид искусства, чтобы с его подчеркнуть особенности состояния героев, их переживания. Например, быстрая музыка может передать чувство эйфории актера на сцене театра, а медленная скорее будет означать печаль.
       Музыка необходима для обогащения духовного мира зрителя, развития его творческих пробуждения чувства любви к красоте окружающего мира. Так же музыка развитию эмоциональной чувствительности. Привлечение к музыке вводит зрителей в мир волнующих радостных переживаний.
4,8(43 оценок)
Новые ответы от MOGZ: Математика
logo
Вход Регистрация
Что ты хочешь узнать?
Спроси Mozg
Открыть лучший ответ