М
Молодежь
К
Компьютеры-и-электроника
Д
Дом-и-сад
С
Стиль-и-уход-за-собой
П
Праздники-и-традиции
Т
Транспорт
П
Путешествия
С
Семейная-жизнь
Ф
Философия-и-религия
Б
Без категории
М
Мир-работы
Х
Хобби-и-рукоделие
И
Искусство-и-развлечения
В
Взаимоотношения
З
Здоровье
К
Кулинария-и-гостеприимство
Ф
Финансы-и-бизнес
П
Питомцы-и-животные
О
Образование
О
Образование-и-коммуникации
Scelet911
Scelet911
26.09.2022 15:24 •  Математика

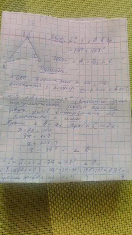
один из внутренних углов треугольника в 2 раза больше другой, а внешний угол при вершине третьего угла равна 117 градусов. найдите углы треугольника

👇
Ответ:

Відповідь: 39°,78°, 63°

Покрокове пояснення: на фото


один из внутренних углов треугольника в 2 раза больше другой, а внешний угол при вершине третьего уг
4,6(8 оценок)
Открыть все ответы
Ответ:
Maxi2007
Maxi2007
26.09.2022
Пусть искомое время х тогдаРасстояние первого пешехода от города равно 7+4хРасстояние второго пешехода от города равно 10+5хПоскольку дороги перпендикулярны то расстояние между пешеходами находится по теореме Пифагора и равно 25 Тогда(7+4х)^2 + (10+5х)^2 = 625 После возведения в квадрат и приведения подобных получим квадратное уравнение41х^2 +156х-476=0Дискриминант равен 156^2-4*41*(-476) = 102400Корень квадратный из дискриминанта равен 320Тогда первый корень квадратного уравнения = -476/82 отрицательный и не подходитвторой корень равен (-156+320)/2*41 = 2ответ Через 2 часа расстояние между пешеходами будет 25 км
4,5(43 оценок)
Ответ:
cabinamaksarov
cabinamaksarov
26.09.2022

ответ: 44 раза

Пояснения. Минутная стрелка делает 24 оборота за сутки, а часовая стрелка - 2 оборота за сутки. Минутная и часовая стрелки образуют 2 угла по 90° за каждый оборот минутной стрелки.

(24 - 2) · 2 = 44 раза.

-----------------------------------------------------

Строгое доказательство.    

12 ч = 12·60 мин.

Угловая скорость часовой стрелки (полный оборот 360° за 12·60 мин)

\omega_1=\dfrac{360\textdegree}{12\cdot60}=0,5  град/мин

Угловая скорость минутной стрелки (полный оборот 360° за 60 мин)

\omega_2=\dfrac{360\textdegree}{60}=6  град/мин

Угловая скорость сближения стрелок

\omega=\omega_2-\omega_1=6-0,5=5,5=\dfrac {11}2  град/мин

Если начинать отсчёт суток от  00:00  часов, то первый прямой угол между стрелками будет через

t_1=\dfrac {90\textdegree}{\omega}=\dfrac {90\cdot 2}{11}=16\dfrac 4{11}  мин

Следующий прямой угол от начала суток будет в

t_2=\dfrac {270\textdegree}{\omega}=\dfrac {270\cdot 2}{11}=49\dfrac1{11}  мин

Далее прямой угол будет повторяться каждые

t=t_2-t_1=49\dfrac1{11}-16\dfrac 4{11}=32\dfrac 8{11}  мин

Всего прямой угол за сутки будет образован

n=\dfrac {24\cdot 60}t=24\cdot 60:32\dfrac 8{11}=\dfrac {24\cdot 60\cdot 11}{360}=44 раза.

4,6(52 оценок)
Это интересно:
Новые ответы от MOGZ: Математика
Полный доступ к MOGZ
Живи умнее Безлимитный доступ к MOGZ Оформи подписку
logo
Вход Регистрация
Что ты хочешь узнать?
Спроси Mozg
Открыть лучший ответ