М
Молодежь
К
Компьютеры-и-электроника
Д
Дом-и-сад
С
Стиль-и-уход-за-собой
П
Праздники-и-традиции
Т
Транспорт
П
Путешествия
С
Семейная-жизнь
Ф
Философия-и-религия
Б
Без категории
М
Мир-работы
Х
Хобби-и-рукоделие
И
Искусство-и-развлечения
В
Взаимоотношения
З
Здоровье
К
Кулинария-и-гостеприимство
Ф
Финансы-и-бизнес
П
Питомцы-и-животные
О
Образование
О
Образование-и-коммуникации
Вано137
Вано137
07.11.2020 16:32 •  Математика

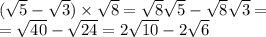
(корень из 5 - корень из 3) × корень из 8 почему нельзя вычесть и умножить ?

👇
Ответ:
Взаимодействовать с подкоренным выражением (если они разные), можно при произведении вы частном.
\sqrt{2} + \sqrt{6} = \sqrt{8}
- Не верно
\sqrt{2} \times \sqrt{3} = \sqrt{6}
- Верно

( \sqrt{5} - \sqrt{3} ) \times \sqrt{8} = \sqrt{8} \sqrt{5} - \sqrt{8} \sqrt{3} = \\ = \sqrt{40} - \sqrt{24} = 2\sqrt{10} - 2 \sqrt{6}
4,4(60 оценок)
Открыть все ответы
Ответ:
Мария05m
Мария05m
07.11.2020

вася задумал число 28. найдите 4\7 задуманого числа

 

28*4/7=4*4=16 - 4/7 задуманного числа

 

вера прочитала 20книг это составило 2\5 числа её книг. сколько книг у веры? 

 

20:2/5=20*5/2=10*5=50 (кн.) - всего книг было у Веры

 

продано 3\4 от имевшихся 60кг конфет. сколько кг конфет осталось продать?

 

60*3/4=15*3=45 (кг) - продано конфет

60-45=15 (кг) - конфет очталось продать

 

у васи 40книг. он прочитал 5\8 всех своих книг.  сколько книг прочитал вася?

 

40*5/8=5*5=25 (кн.) - прочитал Вася

 

маша задумала число 3\4 которого равны 24. какое число задумала маша?

 

24:3/4=24*4/3=8*4=32 - задуманное число

 

пройдено 3\5 от 60 км. сколько км осталось пройти?

 

60*3/5=12*3=36 (км) - пройдено

60-36=24 (км) - осталось пройти

   
4,4(48 оценок)
Ответ:
rozaliazhuravl
rozaliazhuravl
07.11.2020

вася задумал число 28. найдите 4\7 задуманого числа

 

28*4/7=4*4=16 - 4/7 задуманного числа

 

вера прочитала 20книг это составило 2\5 числа её книг. сколько книг у веры? 

 

20:2/5=20*5/2=10*5=50 (кн.) - всего книг было у Веры

 

продано 3\4 от имевшихся 60кг конфет. сколько кг конфет осталось продать?

 

60*3/4=15*3=45 (кг) - продано конфет

60-45=15 (кг) - конфет очталось продать

 

у васи 40книг. он прочитал 5\8 всех своих книг.  сколько книг прочитал вася?

 

40*5/8=5*5=25 (кн.) - прочитал Вася

 

маша задумала число 3\4 которого равны 24. какое число задумала маша?

 

24:3/4=24*4/3=8*4=32 - задуманное число

 

пройдено 3\5 от 60 км. сколько км осталось пройти?

 

60*3/5=12*3=36 (км) - пройдено

60-36=24 (км) - осталось пройти

   
4,5(40 оценок)
Это интересно:
Новые ответы от MOGZ: Математика
logo
Вход Регистрация
Что ты хочешь узнать?
Спроси Mozg
Открыть лучший ответ