М
Молодежь
К
Компьютеры-и-электроника
Д
Дом-и-сад
С
Стиль-и-уход-за-собой
П
Праздники-и-традиции
Т
Транспорт
П
Путешествия
С
Семейная-жизнь
Ф
Философия-и-религия
Б
Без категории
М
Мир-работы
Х
Хобби-и-рукоделие
И
Искусство-и-развлечения
В
Взаимоотношения
З
Здоровье
К
Кулинария-и-гостеприимство
Ф
Финансы-и-бизнес
П
Питомцы-и-животные
О
Образование
О
Образование-и-коммуникации
laowiskskz
laowiskskz
28.04.2021 11:49 •  Математика

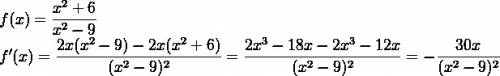
Найти производную функции х2+6/х2-9

👇
Ответ:
ksutsydmi
ksutsydmi
28.04.2021
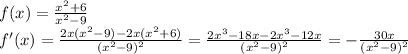
f(x)=\frac{x^2+6}{x^2-9}\\f'(x)=\frac{2x(x^2-9)-2x(x^2+6)}{(x^2-9)^2}=\frac{2x^3-18x-2x^3-12x}{(x^2-9)^2}=-\frac{30x}{(x^2-9)^2}
Найти производную функции х2+6/х2-9
4,4(57 оценок)
Открыть все ответы
Ответ:
arina121212
arina121212
28.04.2021
5  -  сыновей
?  -  дочерей, на 2 < чем сыновей
13  -  внуков
?  -  всего детей и внуков

1) 5 - 2 = 3 - дочери
2) 5 + 3 + 13 = 21 - всего детей и внуков.

Обратная задача 1 :
У бабушки всего 21 детей и внуков. Из них 5 сыновей и 3 дочери. Сколько внуков у бабушки?
21  -  всего детей и внуков
5  -  сыновей
3  -  дочери
?  -  внуков

1)  5 + 3 = 8 - детей
2) 21 - 8 = 13 - внуков.

Обратная задача 2 :
У бабушки всего 21 детей и внуков. Из них 3 дочери и 13 внуков. Сколько сыновей у бабушки?
21  -  всего
3  -  дочери
13  -  внуков
?  -  сыновей

1) 3 + 13 = 16 - дочерей и внуков
2) 21 - 16 = 5 - сыновей.
4,5(77 оценок)
Ответ:
4yfkilo5
4yfkilo5
28.04.2021
5  -  сыновей
?  -  дочерей, на 2 < чем сыновей
13  -  внуков
?  -  всего детей и внуков

1) 5 - 2 = 3 - дочери
2) 5 + 3 + 13 = 21 - всего детей и внуков.

Обратная задача 1 :
У бабушки всего 21 детей и внуков. Из них 5 сыновей и 3 дочери. Сколько внуков у бабушки?
21  -  всего детей и внуков
5  -  сыновей
3  -  дочери
?  -  внуков

1)  5 + 3 = 8 - детей
2) 21 - 8 = 13 - внуков.

Обратная задача 2 :
У бабушки всего 21 детей и внуков. Из них 3 дочери и 13 внуков. Сколько сыновей у бабушки?
21  -  всего
3  -  дочери
13  -  внуков
?  -  сыновей

1) 3 + 13 = 16 - дочерей и внуков
2) 21 - 16 = 5 - сыновей.
4,6(11 оценок)
Это интересно:
Новые ответы от MOGZ: Математика
logo
Вход Регистрация
Что ты хочешь узнать?
Спроси Mozg
Открыть лучший ответ