М
Молодежь
К
Компьютеры-и-электроника
Д
Дом-и-сад
С
Стиль-и-уход-за-собой
П
Праздники-и-традиции
Т
Транспорт
П
Путешествия
С
Семейная-жизнь
Ф
Философия-и-религия
Б
Без категории
М
Мир-работы
Х
Хобби-и-рукоделие
И
Искусство-и-развлечения
В
Взаимоотношения
З
Здоровье
К
Кулинария-и-гостеприимство
Ф
Финансы-и-бизнес
П
Питомцы-и-животные
О
Образование
О
Образование-и-коммуникации
avamasha
avamasha
09.10.2020 21:29 •  Математика

Найдите неизвестный член пропорции ? : 2 1/5=1.3: 0.26

👇
Ответ:
Макушка007
Макушка007
09.10.2020
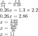
\frac{x}{2 \frac{1}{5} } = \frac{1.3}{0.26} \\ 0.26x = 1.3 \times 2.2 \\ 0.26x = 2.86 \\ x = \frac{2.86}{0.26} \\ x = \frac{286}{26} \\ x = 11
ответ: 11
4,7(82 оценок)
Открыть все ответы
Ответ:
yazeva006
yazeva006
09.10.2020
Для того чтобы обозначить первую вершину у нас есть 4 буквы из можно выбрать любую. Чтобы обозначить вторую вершину у нас остаётся 3 буквы т. к. одну мы уже использовали. Тогда на последнюю вершину остаётся 2 буквы.
И чтобы найти количество обозначения треугольника надо 4*3*2=24
ответ :24

Следующее задание аналогично предыдущему.
Из красных точек можно составить 5*4*3=60 треугольников.
Из жёлтых 6*5*4=120 треугольников
Из зелёных 7*6*5=210 треугольников

И всего получается 60+120+210=390 треугольников
ответ: 390
4,5(26 оценок)
Ответ:
egor228133722
egor228133722
09.10.2020
АВС, ABD, ABE, ACD, ACE, ADE.
2.6804:36=189
6804*6=40824
щ=6, у=8, к=0, а=4, л=2, с=1, п=9
Рассуждения:
Щука - число, кратное 36.   суп*36=щука
При умножении числа, оканчивающегося на п, получается число, оканчивающееся на а, причем а≠0, так как пятизначное число начинается с а.
Тогда СУП может оканчиваться на 1,3,7,9
а  при умножении на 6 дает а в конце (ЩУКА * 6 = АКУЛА). Это возможно только при а=2,4,6,8.
Наибольшее число, которым может оказаться АКУЛА, это произведение наибольшего 4-значного числа, состоящего из разных цифр и кратного 36, на 6. Таким числом является 9864. При умножении на 6 получаем 59184, откуда а<5, т.е. а=2 или а=4. При делении 9864 на 36 получаем 274. Это наибольшее значение, которое может принимать СУП. С учетом последней цифры СУП не больше 273.
Поскольку а может быть 3 или 4, то наибольшее значение. которое может принимать АКУЛА (число начинается с 4, оканчивается 4 и кратно 36*6=216), это 47304. Тогда ЩУКА не больше 7884, а СУП не больше 219.
Минимальное значение ЩУКА (четырехзначное число, кратное 36, состоящее из разных цифр,    полученное путем умножения на 36 трехзначного числа, оканчивающегося на 1,3,7,9, это 
3708.
Тогда СУП не может быть меньше 103.
между 103 и 219 возьмем все числа, состоящие их разных цифр, оканчивающихся на 1,3, 7, 9 и проверим, какие из них дают нам разные 
цифры при умножении на 36, а затем искомую комбинацию цифр . Это только число 189.
4,8(44 оценок)
Это интересно:
Новые ответы от MOGZ: Математика
logo
Вход Регистрация
Что ты хочешь узнать?
Спроси Mozg
Открыть лучший ответ