М
Молодежь
К
Компьютеры-и-электроника
Д
Дом-и-сад
С
Стиль-и-уход-за-собой
П
Праздники-и-традиции
Т
Транспорт
П
Путешествия
С
Семейная-жизнь
Ф
Философия-и-религия
Б
Без категории
М
Мир-работы
Х
Хобби-и-рукоделие
И
Искусство-и-развлечения
В
Взаимоотношения
З
Здоровье
К
Кулинария-и-гостеприимство
Ф
Финансы-и-бизнес
П
Питомцы-и-животные
О
Образование
О
Образование-и-коммуникации
солнышко279
солнышко279
10.12.2021 01:50 •  Математика

Решите кому не ! заранее большое )! в первом классе было 28 учащихся,а втором-половина числа учащихся первого и третьего классов вместе.всего в трёх классах было 90 учащихся.сколько учащихся было во втором классе?

👇
Ответ:
Glambert223
Glambert223
10.12.2021
Пусть в третьем классе х учеников
тогда во втором 14+х/2
всего 28+14+х/2+х=90
42+3/2х=90
3/2х=48
х=48*2/3
х=32
14+32/2=30
4,6(45 оценок)
Ответ:
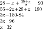
Пусть в третьем классе - х учащихся, тогда в первом - 28, а во втором - (28+х)/2 
Составим уравнение: 
28+x+ \frac{28+x}{2} =90

56+2x+28+x=180

3x=180-84

3x=96

x=32
Тогда в третьем классе - 32 учащихся, а во втором: 28+32/2 = 30 чел
4,8(48 оценок)
Открыть все ответы
Ответ:
Elizaveta8614
Elizaveta8614
10.12.2021
Исходя из условий задачи можно утверждать точно, что:
Условие 1. Все 5 внуков получили пирожки;
Условие 2: Каждый внук получил не меньше 1 пирожка.

Что может быть верно?
А) кто-то то получил 6 пирожков , а кто-то то - 2.
10 ( пирожков всего) - 6 (получил кто-то из 5 внуков)=4 (пирожка осталось). Значит остальные 4 внука должны получить как минимум по 1 пирожку (4*1=4). Значит 2 пирожка не смог бы получить никто. 
ОТВЕТ: НЕВЕРНО

 Б) Четыре внука получили по 1 пирожку
4 (внука)*1 (по одному пирожку)=4 (пирожка), а пятый внук мог получить от одного до шести пирожков (по желанию).
ответ: ВЕРНО.

В) Два внука получили по 4 пирожка.
2 *4 = 8 пирожков получили два внука. Значит, 10-8=2 пирожка нужно разделить на трех внуков (2:3<1). Не соответствует условию 2, ведь каждый внук получил как минимум по 1 пирожку.
ответ: НЕВЕРНО.

 Г) Три внука получили по 3 пирожка.
3*3=9 пирожков. Остальные два внука (5-3=2) получили 1 пирожок на двоих. Не соответствует второму условию.
ответ: НЕВЕРНО.

Д) Ровно четыре внука получили по 2 пирожка.
Не соответствует первому условию, все 5 внуков получили пирожки, а не только (ровно) 4 внука.
ответ: НЕВЕРНО.

Единственный верный вариант: Б) Четыре внука получили по 1 пирожку
4,6(14 оценок)
Ответ:
Stacool220
Stacool220
10.12.2021
У житті тітки Поллі та інших жителів містечка сталися дивовижні зміни. Цим потрібно завдячувати Поліанні, яка вміла жити, радіти життю, була оптимісткою, кожному дарувала частинку свого доброго серця.  
1. Тітці Поллі довелося змінювати звичний стиль життя. 2. Тітчине  розуміння обов’язку видається дивним і Полінні, і іншим жителям маєтку Гаррінгтонів. 4. Режим дня, який  запропонувала тітка, на думку Поліанни, «зовсім не лишає  часу на те, щоб просто жити». 5. Життя Поліанна  сприймає, як  гру в радість, намагається навчити цього усіх жителів містечка. Радість дівчинка намагається знайти за будь-яких обставин, навіть за таких, які видаються зовсім безнадійними (н., смерть батька, кімната на горищі тощо). Іншим людям вона теж допомагає знайти привід для радості. 6. Поліанна виявилася дуже старанною ученицею, але окрім навчання вона мала ще багато обов’язків: навідувати Джона Пендлтона, місіс Сноу, спілкуватися із лікарем Чілтоном тощо. 7. Нещастя, що сталося з Поліанною,  не поселило в дівчинці зневіру, через те, що їй постійно приходили листи, від вдячних людей, яким вона до відвідували жителі містечка,  тому що кожного із них вона навчила радіти життю і насолоджуватися ним. 8. Любов до Поліанни змусила тітку Поллі та лікаря Чілтона забути про образи, зрозуміти цінність своїх стосунків  до дівчинці одужати. 
4,4(83 оценок)
Новые ответы от MOGZ: Математика
logo
Вход Регистрация
Что ты хочешь узнать?
Спроси Mozg
Открыть лучший ответ