М
Молодежь
К
Компьютеры-и-электроника
Д
Дом-и-сад
С
Стиль-и-уход-за-собой
П
Праздники-и-традиции
Т
Транспорт
П
Путешествия
С
Семейная-жизнь
Ф
Философия-и-религия
Б
Без категории
М
Мир-работы
Х
Хобби-и-рукоделие
И
Искусство-и-развлечения
В
Взаимоотношения
З
Здоровье
К
Кулинария-и-гостеприимство
Ф
Финансы-и-бизнес
П
Питомцы-и-животные
О
Образование
О
Образование-и-коммуникации
Katellil3
Katellil3
02.03.2023 00:11 •  Математика

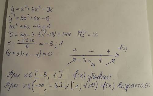
Знайти проміжки зростання і спадання функції: f(x)=x³+3x²-9x

👇
Ответ:
наргиз68
наргиз68
02.03.2023
____________________
Знайти проміжки зростання і спадання функції: f(x)=x³+3x²-9x
4,6(55 оценок)
Открыть все ответы
Ответ:
bumar2
bumar2
02.03.2023
156x                                                                                                                                                                                                                                                                                             →          →      →      →      →      →      →      →      →      →      →      →      →      →      →      →      →      →      →      →      →      →      →      →      →      →      →      →      →      →      →      →      →      →      →      →      →      →                                               
4,8(77 оценок)
Ответ:
miras20081
miras20081
02.03.2023
Дізнаєшся більше про безпеку в побуті; правила користування водогоном, тепловими мережами; чому необхідно економити воду

 Пригадай

Що таке безпека й небезпека? Про які небезпеки в побуті знаєш?

Щоб забезпечити населення всіма побутовими вигодами, до будинків прокладають електричні кабелі, труби водогону й тепломережі.

У сільський місцевості люди часто користуються водою з криниць, їжу готують на газовій плиті, яка працює від газового балона.

Через труби водогону вода до будівель має надходити без сторонніх домішок, мати певну температуру, смак, запах. Для цього воду з водойм через водозабір подають на станцію водоочищення. Там її очищують за до хімічних речовин. Вода з резервуарів чистої води під тиском насосних станцій надходить до водогінної мережі населеного пункту.
Криниці слід облаштувати так, щоб у них не потрапляли сторонні предмети.

У міській водогінній мережі стежать за тим, аби якість води відповідала санітарно-гігієнічним нормам. Санітарно-епідеміологічна служба перевіряє також якість води в криницях.

Щоб поліпшити якість питної води, її можна очищати вдома. Так, кип’ятіння пом’якшує воду, знищує бактерії, віруси, яйця глистів. У профільтрованій воді менше механічних забруднювачів, хлору, вона прозоріша і смачніша. Люди користуються також пристроями для очищення води, фасованою водою в бутлях, водою з природних джерел тощо.

Прісної води на планеті не так уже й багато. Нині в багатьох країнах світу вже не вистачає прісної води. Прикро, що люди, використовуючи воду, не замислюються над цим. Стічні води, обробка сільськогосподарських земель хімічними речовинами, надмірне використання засобів побутової хімії забруднюють воду, погіршують її якість. Буває, люди не економлять воду, залишаючи відкритими крани. Якщо з крана капає вода, то за добу витікає майже 60 літрів.

Ти ще не можеш самостійно відремонтувати кран чи зливний бачок, то зверни увагу дорослих на несправність. Тобі до снаги перекрити крани в разі витоку води. Адже відкритий водогінний кран у квартирі може призвести до небезпечної ситуації — затоплення. Вода заповнить квартиру, зіпсує підлогу, речі. Вона може проникнути й у квартири поряд із твоєю та в ті, що на нижніх поверхах. Затоплення може виникнути також, коли забиваються каналізаційні труби

Завдання

1. Назви небезпечні ситуації, що можуть статися в помешканні.

2. Яких порад слід додержуватися, щоб запобігти затопленню?

3. Як діяти, якщо сталося затоплення?

4. Розглянь схему очищення води. Розкажи, який шлях проходить вода, яка надходить до оселі.

5. Чи ощадливо (економно) використовуєш воду? Чому?

Моделюй — набувай життєвих навичок

Учись правильно діяти.

З до дорослих:

•   дізнайся, де в помешканні розташовані вентилі, що перекривають постачання води в оселю. Під наглядом дорослих потренуйся закривати їх;

•   з’ясуй, у яких місцях може протікати вода;

•   дізнайся, де розміщено електровимикач, що відключає від електромережі всю оселю. Під наглядом дорослих навчися ним користуватися;

•   запиши у власний довідник номери телефонів аварійних служб, до яких слід звертатися, коли протікають крани, труби, вода затоплює оселю.
4,8(30 оценок)
Новые ответы от MOGZ: Математика
logo
Вход Регистрация
Что ты хочешь узнать?
Спроси Mozg
Открыть лучший ответ