М
Молодежь
К
Компьютеры-и-электроника
Д
Дом-и-сад
С
Стиль-и-уход-за-собой
П
Праздники-и-традиции
Т
Транспорт
П
Путешествия
С
Семейная-жизнь
Ф
Философия-и-религия
Б
Без категории
М
Мир-работы
Х
Хобби-и-рукоделие
И
Искусство-и-развлечения
В
Взаимоотношения
З
Здоровье
К
Кулинария-и-гостеприимство
Ф
Финансы-и-бизнес
П
Питомцы-и-животные
О
Образование
О
Образование-и-коммуникации
KavaiiGot
KavaiiGot
19.12.2020 22:00 •  Математика

Найдите корни уравнения |n-1,9| = 3,14

👇
Ответ:
Rararasa
Rararasa
19.12.2020
|n-1,9| = 3,14

\left[\begin{array}{ccc} n-1,9 = 3,14\\n-1,9 = - 3,14\end{array}\right \\ \\ \\ \left[\begin{array}{ccc} n = 5,04\\n = - 1,24\end{array}\right

ответ: 
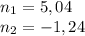
n_1 = 5,04 \\ n_2 = - 1,24
4,7(44 оценок)
Открыть все ответы
Ответ:
JaneAubakirova
JaneAubakirova
19.12.2020

із двох міст одночасно назкстріч один одному виїхали два мотоцикліста й зустрілися через 4 3/7 год після виїзду. Один з них проїждає відстань між міст …

буду очень благодарен

Выбери правильные числа, чтобы завершить пред2096 одного часаминут.15% одного килограммаграмов78% одного метра -дециметров65% одной минуты =секунд25% …

Изготавливая по 21 детали в час, рабочий трудился 8 часов. Сколько времени ему понадобилось бы на эту же работу, если бы он делал в час по 24 детали? …

122. (Устно.) Найдите делители каждого числа, обделитель и наибольший обший делитель чисел1) 4 и 16 2) 6 и 15 3) 4 и 10; 4) 8 и 18

Предыдущий

Следующий

Задай вопр

4,6(67 оценок)
Ответ:
mashacherevchenko
mashacherevchenko
19.12.2020

1) Сначала разложим каждое число на множители и получим:

35 = 5 * 7 * 1;

77 = 7 * 11 * 1;

Для того, чтобы найти НОК чисел, запишем множители у большего числа и к нему добавим множители другого числа, которых нет у первого числа. Затем найдем произведение записанных множителей.

НОК (35; 77) = 7 * 11 * 5 = 77 * 5 = 385.

Для того, чтобы найти НОД чисел, запишем общие множители чисел и найдем его произведение.

НОД (35; 77) = 7 * 1 = 7.

2) 96 = 2 * 2 * 2 * 2 * 2 * 3 * 1;

26 = 2 * 13 * 1;

НОК (96; 26) = 96 * 13 = 1248.

НОД (96; 26) = 2 * 1 = 2.

3) 21 = 3 * 7 * 1;

84 = 2 * 2 * 3 * 7 * 1;

НОК (21; 84) = 84;

НОД (21; 84) = 3 * 7 * 1 = 21.

4,7(40 оценок)
Это интересно:
Новые ответы от MOGZ: Математика
logo
Вход Регистрация
Что ты хочешь узнать?
Спроси Mozg
Открыть лучший ответ