М
Молодежь
К
Компьютеры-и-электроника
Д
Дом-и-сад
С
Стиль-и-уход-за-собой
П
Праздники-и-традиции
Т
Транспорт
П
Путешествия
С
Семейная-жизнь
Ф
Философия-и-религия
Б
Без категории
М
Мир-работы
Х
Хобби-и-рукоделие
И
Искусство-и-развлечения
В
Взаимоотношения
З
Здоровье
К
Кулинария-и-гостеприимство
Ф
Финансы-и-бизнес
П
Питомцы-и-животные
О
Образование
О
Образование-и-коммуникации
kokgggg
kokgggg
04.10.2020 04:17 •  Математика

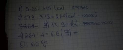
Грузовая машина проехала 579 км пути за 13 ч. сначала она ехала 9 ч по степной дороге со скоростью 35 км/ч, затем - по асфальтированной дороге. с какой скоростью ехала машина по асфальтированной дороге?

👇
Ответ:
stalker2000008
stalker2000008
04.10.2020
1)S=9*35
S=35км
2)579-315=264км—ехал по асфальту
3)13ч-9ч=4ч—ехал по асфальту
4)264:4=66км/ч
ответ:66км/ч
4,8(30 оценок)
Ответ:
sofiabogdanova1
sofiabogdanova1
04.10.2020
.................... .
Грузовая машина проехала 579 км пути за 13 ч. сначала она ехала 9 ч по степной дороге со скоростью 3
4,7(79 оценок)
Открыть все ответы
Ответ:
18Tanya
18Tanya
04.10.2020
Пусть из 40 человек X-всегда говорит правду, 40-X всегда лжет причем 

40-x > x 
будем добавлять ушедших делегатов и получим что все они будт правдивцами от x до 40-x 

лжецов правдивцев 
40-x 40-x 
добавляя следующего делегата получим что он лжец 
( так как условие не выполняется -Среди оставшихся лжецов больше, чем правдивых) 
+1 

добавляя следующего делегата получим что он правдивец 
( так как условие выполняется -Среди оставшихся лжецов больше, чем правдивых) 
+1 

и т.д. 

лжецов правдивцев 
40-x 40-x 
+ 1 +1 
+ 1 +1 
+ 1 +1 
+ 1 +1 
+ 1 +1 
и так до 100 

Как мы видим лжецов, как и правдицев ровно половина то-есть 50
4,6(1 оценок)
Ответ:
joraninga
joraninga
04.10.2020
К концу XX в. загрязнения окружающей среды отходами, выбросами, сточными водами всех видов промышленного производства, сельского хозяйства, коммунального хозяйства городов приобрели глобальный характер, что доставило человечество на грань экологической катастрофы. 

Источники загрязняющих веществ разнообразны, также многочисленны виды отходов и характер их воздействия на компоненты биосферы. Биосфера загрязняется твердыми отходами, газовыми выбросами и сточными водами металлургических, металлообрабатывающих и машиностроительных заводов. Огромный вред наносят водным ресурсам сточные воды целлюлозно-бумажной, пищевой, деревообрабатывающей, нефтехимической промышленности. Развитие автомобильного транспорта привело к загрязнению атмосферы городов и транспортных коммуникаций токсичными металлами и токсичными углеводородами, а постоянное возрастание масштабов морских перевозок вызвало почти повсеместное загрязнение морей и океанов нефтью и нефтепродуктами, особенно в центре Европы. 

Массовое применение минеральных удобрений и химических средств защиты растений привело к появлению ядохимикатов в атмосфере, почвах и природных водах, загрязнению биогенными элементами водоемов и сельскохозяйственной продукции. При разработках на поверхность земли извлекаются миллионы тонн разнообразных горных пород, образующих пылящие и горящие терриконы и отвали. В процессе эксплуатации химических заводов и тепловых электростанций также образуется огромное количество твердых отходов (огарок, шлаки, золы), которые складируются на больших площадях, оказывая негативное влияние на атмосферу, поверхностные и подземные воды. 

По статистическим данным, в начале 80-х гг. XX в. на нашей планете добывалось около 100 млрд. т различных руд горючих ископаемых, строительных материалов. При этом в результате хозяйственной деятельности человека в атмосферу поступило более 200 млн. т СО2, около 53 млн. т оксидов азота и других химических соединений. Побочными продуктами деятельности промышленных предприятий явились также 32 млрд. м3 неочищенных сточных вод и 260 млн. т пыли. 
4,8(72 оценок)
Это интересно:
Новые ответы от MOGZ: Математика
logo
Вход Регистрация
Что ты хочешь узнать?
Спроси Mozg
Открыть лучший ответ