М
Молодежь
К
Компьютеры-и-электроника
Д
Дом-и-сад
С
Стиль-и-уход-за-собой
П
Праздники-и-традиции
Т
Транспорт
П
Путешествия
С
Семейная-жизнь
Ф
Философия-и-религия
Б
Без категории
М
Мир-работы
Х
Хобби-и-рукоделие
И
Искусство-и-развлечения
В
Взаимоотношения
З
Здоровье
К
Кулинария-и-гостеприимство
Ф
Финансы-и-бизнес
П
Питомцы-и-животные
О
Образование
О
Образование-и-коммуникации
alenamorozova4
alenamorozova4
13.08.2022 17:28 •  Математика

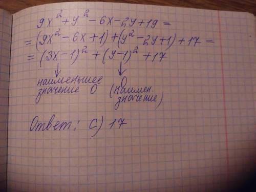
найдите наименьшее значение выражения
9x^2+y^2 - 6x - 2y +19.
а) 21 b) 19 с) 17 d) 0 е) 14

👇
Ответ:
EveChan
EveChan
13.08.2022


найдите наименьшее значение выражения9x^2+y^2 - 6x - 2y +19.а) 21 b) 19 с) 17 d) 0 е) 14 ​
4,4(47 оценок)
Открыть все ответы
Ответ:
galinapetrovic
galinapetrovic
13.08.2022
1) 8 (х-14) = 56       х - 14 = 56 : 8       х - 14 = 7       х = 14 + 7        х = 21  2) (46-х) * 19 = 418        46-х = 418 : 19        46-х = 22       х = 46 - 22       х = 24  3) 9 (143-13 х) = 234       143 - 13 х = 234 : 9       143 - 13 х = 26        13 х = 143 - 26        13 х = 117        х = 117 : 13       х = 9
4,5(65 оценок)
Ответ:
lowander3000
lowander3000
13.08.2022

в традиции народа было издавна принято закатывать пир горой. удалая, весёлая масленица издавна считалась одним из  любимейших зимних праздников. на  масленичную неделю обязательно было принято всех потчевать блинами  — символом восходящего солнца. чтобы рожь и  лён росли высокими (долгими), молодые девушки и  женщины старались как можно дальше прокатиться с  ледяной горы. а  воскресенье недели называли прощёным  — в  это время обычай предполагал поцелуи и  просьбы о  прощении. в  этот  же день сжигали чучело зимы, а  масленицу (ее роль исполняла молодая девушка) с  прибаутками и  улюлюканьем вывозили на  край села, где и  провожали   — вываливали в  снег.

в день весеннего равноденствия приходило время для празднования веснянок. пеклось обрядовое печенье в  форме птиц-жаворонков, которые своим "кликом" должны были призывать весну-красну. дети пели особые песни-заклички, а  молодёжь мастерила глиняные и  деревянные свистульки. в  рамках традиций в  этот день из  берёзовых веток делали куклу веснянки, которую затем носили по  деревне, плели венки, и  устраивали ритуальные трапезы.

а затем солнышко постепенно катилось к  лету… в  традиции славян было отмечать в  день летнего солнцестояния праздник ивана купалы. среди обрядов в  честь этого праздника значилось распевание песен во  славу божества плодородия, плетение венков и  прыжки через костёр. а смелые юноши отправлялись в  лес, чтобы найти огненный цветок папоротника. традиция этого праздника включала в  себя также добывание живого огня при трения сухих палочек.

а зимой, после зимнего солнцеворота, когда день начинал постепенно прибывать на  "воробьиный скок", приходило время для чествования коляды. в  рамках традиций народа в эту ночь не  спали, а  облачались в  забавные звериные маски и  ходили по дворам  — колядовали. дети в  эту ночь пели особые песни, за  исполнение которых их  угощали сладостями. а  подростки катали в  гору огненные колёса, приговаривая: "в гору катись, с  весной воротись". таким образом, весь год являл собой коловорот традиций, обрядов и  обычаев, где каждой примете и  явлению было своё место.

4,4(16 оценок)
Новые ответы от MOGZ: Математика
logo
Вход Регистрация
Что ты хочешь узнать?
Спроси Mozg
Открыть лучший ответ