М
Молодежь
К
Компьютеры-и-электроника
Д
Дом-и-сад
С
Стиль-и-уход-за-собой
П
Праздники-и-традиции
Т
Транспорт
П
Путешествия
С
Семейная-жизнь
Ф
Философия-и-религия
Б
Без категории
М
Мир-работы
Х
Хобби-и-рукоделие
И
Искусство-и-развлечения
В
Взаимоотношения
З
Здоровье
К
Кулинария-и-гостеприимство
Ф
Финансы-и-бизнес
П
Питомцы-и-животные
О
Образование
О
Образование-и-коммуникации
kamilla198
kamilla198
30.10.2021 11:31 •  Математика

Y=(2x-1)(1-x^2) , не понял свойства данной произвольной..

👇
Ответ:
ValeriyaGerner
ValeriyaGerner
30.10.2021
Можно сначала раскрыть скобки, а потом уже находить производную:
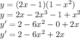
y=(2x-1)(1-x^2) \\ 
y=2x-2x^3-1+x^2 \\ 
y'=2-6x^2-0+2x \\ 
y'=2-6x^2+2x
4,7(87 оценок)
Ответ:
sonys8412
sonys8412
30.10.2021
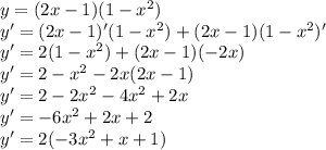
y=(2x-1)(1-x^2)\\y'=(2x-1)'(1-x^2)+(2x-1)(1-x^2)'\\y'=2(1-x^2)+(2x-1)(-2x)\\y'=2-x^2-2x(2x-1)\\y'=2-2x^2-4x^2+2x\\y'=-6x^2+2x+2\\y'=2(-3x^2+x+1)
4,4(58 оценок)
Открыть все ответы
Ответ:
Lololoshka98
Lololoshka98
30.10.2021
Родина для меня начинается с моего дома. Мой дом – это моя семья, мои самые близкие люди, которые меня любят. Именно здесь, рядом с родными людьми, мне тепло, уютно и спокойно.
Моя Родина начинается с маленькой речки на даче, с куста смородины, листочки которой так вкусно пахнут. Родина – это поле с огромным небом над ним, где мы пускали воздушного змея и любовались радугой. И лес, где так сильно пахнет земляникой и хвоей. Разлитый, как молоко, туман, в котором можно спрятаться…
Наверное, с этого начинается для меня Родина.
4,7(53 оценок)
Ответ:
nekit1307
nekit1307
30.10.2021
Ромб ABCD сторона AB= 10     угол ABC  = 150*
большая диагональ D2    меньшая    D1   точка пересечения О.
в прямоугольном треугольнике ABO
  угол ABO = 150/2 = 75* т.к BO является биссектрисой и высотой.
сторона АВ является гипотенузой и равна 10 .
АО катет лежащий против угла 75*  отсюда  АО = АВ * tg 75*=10 * 3.73=37.3
АО является половиной диоганали d2   вся диоганаль 2 * АО = 2*37.3=74.64
катет ВО  = АВ * cos 75* = 10 * 0.259 =2.588=2.59 отсюда вся диагональ d1 =2*BO = 2* 2.59=5.176
площадь ромба S= 1/2(d1 * d2) = 0.5(5.176 * 74.64) = 193.19
4,7(84 оценок)
Это интересно:
Новые ответы от MOGZ: Математика
logo
Вход Регистрация
Что ты хочешь узнать?
Спроси Mozg
Открыть лучший ответ