М
Молодежь
К
Компьютеры-и-электроника
Д
Дом-и-сад
С
Стиль-и-уход-за-собой
П
Праздники-и-традиции
Т
Транспорт
П
Путешествия
С
Семейная-жизнь
Ф
Философия-и-религия
Б
Без категории
М
Мир-работы
Х
Хобби-и-рукоделие
И
Искусство-и-развлечения
В
Взаимоотношения
З
Здоровье
К
Кулинария-и-гостеприимство
Ф
Финансы-и-бизнес
П
Питомцы-и-животные
О
Образование
О
Образование-и-коммуникации
kosinets
kosinets
19.08.2020 01:45 •  Математика

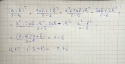
Найдите значение выражения (a+b)^2\a-b+2ab+2b^2\b-a при a=0.75 b=-3.51

👇
Ответ:
sem212
sem212
19.08.2020
Фоточка тебе в
Найдите значение выражения (a+b)^2\a-b+2ab+2b^2\b-a при a=0.75 b=-3.51
4,4(3 оценок)
Открыть все ответы
Ответ:
dela19
dela19
19.08.2020
Употребление наркотиков носит характер моды. Какая-то неведомая сила тянет человека следовать моде — и в одежде, и в поведении, и в идеологических симпатиях. Молодым свойственно преобладание физиологических потребностей над эмоционально-волевым контролем собственного поведения — и это одна из причин наркомании. Увлечение наркотиками связано также с социальными условиями.
наркоманом становится человек, не обретший себя в личной жизни, обделенный вниманием, сочувствием, дружбой, лаской, пониманием, любовью. Человек, плохо управляющий своими эмоциями, готовый под влиянием неожиданности или разочарования впасть в отчаяние, панику, тоску. Человек, умственно, а главное, духовно, культурно, эмоционально недостаточно развитый, не нашедший своего призвания, своего дела. Человек, с детства живущий лишь для удовлетворения своих сугубо эгоцентрических желаний, не умеющий делать верный выбор даже в мелочах, постоянно зависящий от окружающих, а отсюда — постоянно кому-то подражающий. Человек со слабой волей, не отказаться от сигареты, выпивки и от укола. Лечить наркомана очень трудно. Нелегко проводить и профилактику наркомании, тем более в наше сложное время. Это дело не одного и не нескольких человек, а всего человечества.
4,6(26 оценок)
Ответ:
lizadobhliwdf
lizadobhliwdf
19.08.2020
234585/3                                       890/2
78195/3                                         445/5
26065/5                                         89/89 - простое число
5213/13                                         1
401/401 - простое число              890 = 2 * 5 * 89
1
234585 = (3*3) * 5 * 13 * 401

НОД = 5 - наибольший общий делитель
234585 : 5 = 46917                        890 : 5 = 178

НОК = 2 * (3*3) * 5 * 13 * 89 * 401 = 41756130 - наименьшее общее кратное
41756130 : 234585 = 178                  41756130 : 890 = 46917
4,6(20 оценок)
Это интересно:
Новые ответы от MOGZ: Математика
logo
Вход Регистрация
Что ты хочешь узнать?
Спроси Mozg
Открыть лучший ответ