Вход
Регистрация
Спроси Mozg AI
М
Молодежь
К
Компьютеры-и-электроника
Д
Дом-и-сад
С
Стиль-и-уход-за-собой
П
Праздники-и-традиции
Т
Транспорт
П
Путешествия
С
Семейная-жизнь
Ф
Философия-и-религия
Б
Без категории
М
Мир-работы
Х
Хобби-и-рукоделие
И
Искусство-и-развлечения
В
Взаимоотношения
З
Здоровье
К
Кулинария-и-гостеприимство
Ф
Финансы-и-бизнес
П
Питомцы-и-животные
О
Образование
О
Образование-и-коммуникации
.....больше.....
..меньше..
Егорка156
22.06.2021 13:50 •
Математика
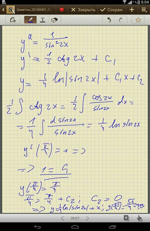
Найдите частичное решение диф уравнения и вычислите значение полученной функции у=ф(х) при х=х0 с точностью до 2 знаков после запятой y''=1/sin^2(2x) x0=(5/4) *pi y(pi/4)=pi/4 y'(pi/4)=1
👇
Увидеть ответ
Ответ:
Vikysiax99
22.06.2021
...........................
4,6
(29 оценок)
Открыть все ответы
Ответ:
Takyshika
22.06.2021
1)3,5х+4,08х+2х=4,79
9,58х=4,79
х=4,79/9,58
х=0,5
2)1,8а-52,5=2,4
1,8а=2,4+52,5
1,8а=54,9
а=54,9/1,8
а=30,5
3)724,5/3/х - 6,5 = 16,5
Приводим к общему знаменателю:
724,5-6,5*3/х = 16,5 * 3/х
Домножаем на х, чтобы избавиться от дроби:
724,5х - 19,5 = 49,5
724,5х=49,5+19,5
724,5х=69
х=69/724,5
х=0,0952381
4)67,2/(32,8-2х)=12
Приводим к общему знаменателю:
67,2=12(32,8-2х)
Раскрываем:
67,2=393,6-24х
24х=393,6-67,2
24х=326,4
х=326,4/24
х=13,6
5)(0,95х-1,82)/1,7=3,4
Приводим к общему знаменателю:
0,95х-1,82=3,4*1,7
0,95х-1,82=5,78
0,95х=5,78+1,82
0,95х=7,6
х=7,6/0,95
х=8
4,5
(53 оценок)
Ответ:
Cvertuhi
22.06.2021
1)3,5х+4,08х+2х=4,79
9,58х=4,79
х=4,79/9,58
х=0,5
2)1,8а-52,5=2,4
1,8а=2,4+52,5
1,8а=54,9
а=54,9/1,8
а=30,5
3)724,5/3/х - 6,5 = 16,5
Приводим к общему знаменателю:
724,5-6,5*3/х = 16,5 * 3/х
Домножаем на х, чтобы избавиться от дроби:
724,5х - 19,5 = 49,5
724,5х=49,5+19,5
724,5х=69
х=69/724,5
х=0,0952381
4)67,2/(32,8-2х)=12
Приводим к общему знаменателю:
67,2=12(32,8-2х)
Раскрываем:
67,2=393,6-24х
24х=393,6-67,2
24х=326,4
х=326,4/24
х=13,6
5)(0,95х-1,82)/1,7=3,4
Приводим к общему знаменателю:
0,95х-1,82=3,4*1,7
0,95х-1,82=5,78
0,95х=5,78+1,82
0,95х=7,6
х=7,6/0,95
х=8
4,4
(81 оценок)
Это интересно:
С
Семейная-жизнь
04.10.2020
Как перестать быть ребенком в глазах родителей: советы психологов...
Х
Хобби-и-рукоделие
18.12.2021
Как сделать кожаные браслеты своими руками: простые шаги для начинающих...
Ф
Финансы-и-бизнес
10.05.2020
Как избежать ошибок в дейтрейдинге...
К
Компьютеры-и-электроника
08.06.2020
Подробная инструкция: Как установить McAfee SiteAdvisor для Chrome...
О
Образование-и-коммуникации
04.02.2021
Как найти край рулона скотча: советы и хитрости...
К
Кулинария-и-гостеприимство
02.06.2023
Как быстро и просто подогреть картофель фри?...
С
Стиль-и-уход-за-собой
22.05.2021
8 эффективных способов сократить размер двойного подбородка...
Д
Дом-и-сад
06.08.2022
Как никогда не оставаться без монет для прачечной: простые способы и советы...
Ф
Философия-и-религия
14.09.2020
Как стать членом Церкви Мормонов...
И
Искусство-и-развлечения
05.04.2022
Как самостоятельно быстро научиться играть на акустической гитаре...
Новые ответы от MOGZ: Математика
SANMAN26
22.05.2021
Приведите примеры,в которых вместо слова множество применяют слова команда , бригада , коллекция , набор ....
Uchenik00ot00boga
10.09.2021
Кожного дія студентами, що працювали на дослідному полі було зібрано по 39, 41, 42, 41, 40, 44, 41, 42, 40, 41, 42, 43, 39, 40, 40, 40, 41, 42, 40, 41, 43, 41, 41, 39, 40 ящиків...
Morkvap5
10.09.2021
08 а Измерь длины ст ерь длины сторон каждого прямоугольника. Вычисли пло- и этих прямоугольников. щади этих л тона равна 14 см, а и от...
87015148669
19.07.2020
Реши систему: 1) {5m +2n=-2 {3m +2n=2...
sashabiryukova
19.07.2020
Help уровн. 6кл 0,8х-5,4=-0,8х+5,8...
shvbur75
26.02.2020
Луч АС лежит внутри угла АОВ причём Угол ABC C 37 градусов угол B а ц 19 градусов Чему равен угол АОВ...
артур631
26.02.2020
НОД(а;б)=24 НОК(а;б)=4,а б Известно,что а не является кратным б.Найдите число а...
maksi71
15.03.2022
С двух станций ,расстояние между которых равно 25,6 км одновременно в одном направлении вышли два поезда. Первый поезд ехал впереди со скоростью 58,4 км.ч и через 4 часа после начала...
mrYaroslav2020
13.06.2022
Одна бригада может выполнить задание за 40 дней, а другая – за 60 дней. За сколько дней они выполнят задание при совместной работе...
бульбулядор
20.11.2022
Измерь длины сторон каждого прямоугольника Вычисли площадь этих прямоугольников ...
MOGZ ответил
Заповеди о признания Бога нам предписывает: а)5,6,9. б)1,2,3. в)4,7,8...
Какая главная мысль текста-Засыпает станица. Гаснут огни в домах. Белая луна висит...
Складіть лист з за до України !!(напишіть про визначені місця...
Прочитайте высказывания о семье и определите описанные в них семейные проблемы:...
Что Цезарь стать диктатором Рима (несколько верных ответов ) а) щедрые Дары бедноте...
Відокремленим неузгодженим означенням ускладнене речення... А У тій хвилі вона...
В классе учится 22 человека, некоторые из них дружат друг с другом. Оказалось,...
Со(?)нце поднимает(?)ся и вся окрес(?)ность освещает(?)ся радос(?)ным светом....
Напишите небольшое сочинение(10-12 предложений)на тему человечность в мировой...
С какой целью и какое значение имела поездка Екатерины II в Новороссию?(кратко)...
Полный доступ к MOGZ
Живи умнее Безлимитный доступ к MOGZ
Оформи подписку
О НАС
О нас
Блог
Условия пользования
Авторское право
Политика конфиденциальности
Предпочтения cookie-файлов
ПОМОЩЬ
Зарегистрируйся
Центр помощи
Центр безопасности
App
Вход
Регистрация
Что ты хочешь узнать?
Спроси Mozg
Открыть лучший ответ