М
Молодежь
К
Компьютеры-и-электроника
Д
Дом-и-сад
С
Стиль-и-уход-за-собой
П
Праздники-и-традиции
Т
Транспорт
П
Путешествия
С
Семейная-жизнь
Ф
Философия-и-религия
Б
Без категории
М
Мир-работы
Х
Хобби-и-рукоделие
И
Искусство-и-развлечения
В
Взаимоотношения
З
Здоровье
К
Кулинария-и-гостеприимство
Ф
Финансы-и-бизнес
П
Питомцы-и-животные
О
Образование
О
Образование-и-коммуникации
evstratova05
evstratova05
03.12.2021 07:45 •  Математика

Парабола проходит через точки a(0; 6), b(6; –6), c(1; 9). найдите координаты её вершины.

👇
Ответ:
ляятупой
ляятупой
03.12.2021
Решение:
Квадратичная функция задаётся формулой вида y = a x^{2} + bx + c
1) А(0;6) принадлежит графику, тогда её координаты удовлетворяют уравнению, 
6 = a* 0^{2} + b*0 + c, 6 = c, y = a x^{2} + bx + 6
2) В(6; -6) и С(1;9) тоже принадлежат графику, тогда
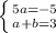
\left \{ {{a* 6^{2} + b*6 + 6 = -6} \atop {a* 1^{2} + b*1 + 6 = 9 }} \right. ,
\left \{ {{a* 6 + b + 1 = - 1} \atop {a + b + 6 = 9 }} \right. ,
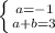
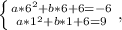
\left \{ {{6a + b = - 2} \atop {a + b = 3 }} \right.
\left \{ {{5a = - 5} \atop {a + b = 3 }} \right.
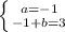
\left \{ {{a = - 1} \atop {a + b = 3 }} \right.
\left \{ {{a = - 1} \atop {- 1 + b = 3 }} \right.
\left \{ {{a = - 1} \atop {b = 4 }} \right
y = - x^{2} + 4x + 6 - уравнение, задающее квадратичную функцию.
3) Найдём координаты вершины параболы:
x_{0} = \frac{- b}{2a} = \frac{-4}{-2} = 2
y_{0} = y( 2) = - 2^{2} + 4*2 + 6 = - 4 + 14 = 10,
(2; 10) - координаты вершины параболы.
ответ: (2; 10).
4,4(30 оценок)
Открыть все ответы
Ответ:
anyBeef
anyBeef
03.12.2021
Решение:
Обозначим скорость течения реки за (х) км/час,
тогда теплоход плыл по течению со скоростью (15+х) км/час,
а против течения теплоход плыл со скоростью (15-х) км/час
Время теплохода в пути в пункт назначения составило:      t=S/V
200/(15+х)
Время в пути возврата в пункт отправления равно:
200/(15-х)
А так как общее время в пути составило: 40час-10час=30час,
составим уравнение:
200/(15+х) +200/15-х)=30
Приведём уравнение к общему знаменателю: (15+х)*(15-х)
(15-х)*200 + (15+х)*200=(15+х)*(15-х)*30
3000-200х+3000+200х=6750-30x^2
6000=6750-30x^2
30x^2=6750-6000
30x^2=750
x^2=750 :30
x^2=25
x1,2=+-√25=+-5
х1=5
х2=-5 -не соответствует условию задачи

ответ: Скорость течения реки 5км/час
4,5(96 оценок)
Ответ:
alexnatur
alexnatur
03.12.2021
. Допусти, что "задание А" это объем какой-то продукции Х, "задание Б" это объем какой-то продукции У. Производительность=количество продукции в единицу времени (ПрА=Х/t), тогда запишем задание в виде:ПрА=Х/15, ПрА=У/30, ПрБ=У/25 из последнего выражаем У и подставляем в предпоследнее:ПрА=25/30ПрБ, или Прб/ПрА=1,2, значит производительность второго в 1,2 раза больше. Теперь считаем время за которое он выполнит задание, 15/1,2=12,5ч
2.Принимаем за "задание", что и в задании, записываем условие:ПрА=Х/20, ПрБ=У/12, ПрА+ПрБ=(Х+У)/16, из первых двух находим Хи У и подставляем в последнее:ПрА+ПрБ=(20ПрА+12ПрБ)/1616ПрА+16ПрБ=20ПрА+12ПрБ4ПрБ=4ПрАПрА/ПрБ=1, значит производительность у них одинаковая.Нажми, чтобы рассказать другим, насколько ответ полезен
Подробнее - на -
4,4(5 оценок)
Это интересно:
Новые ответы от MOGZ: Математика
logo
Вход Регистрация
Что ты хочешь узнать?
Спроси Mozg
Открыть лучший ответ