М
Молодежь
К
Компьютеры-и-электроника
Д
Дом-и-сад
С
Стиль-и-уход-за-собой
П
Праздники-и-традиции
Т
Транспорт
П
Путешествия
С
Семейная-жизнь
Ф
Философия-и-религия
Б
Без категории
М
Мир-работы
Х
Хобби-и-рукоделие
И
Искусство-и-развлечения
В
Взаимоотношения
З
Здоровье
К
Кулинария-и-гостеприимство
Ф
Финансы-и-бизнес
П
Питомцы-и-животные
О
Образование
О
Образование-и-коммуникации
FACE02
FACE02
27.10.2021 02:27 •  Математика

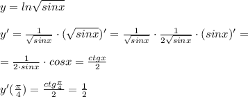
Найти производную функции y= ln√sinx в точке x= π/4

👇
Ответ:
natata23081
natata23081
27.10.2021
y=ln \sqrt{sinx}\\\\y'=\frac{1}{\sqrt{sinx}}\cdot (\sqrt{sinx})'=\frac{1}{\sqrt{sinx}}\cdot \frac{1}{2\sqrt{sinx}}\cdot (sinx)'=\\\\=\frac{1}{2\cdot sinx}\cdot cosx=\frac{ctgx}{2}\\\\y'(\frac{\pi}{4})=\frac{ctg\frac{\pi}{4}}{2}=\frac{1}{2}
4,4(19 оценок)
Открыть все ответы
Ответ:

Пошаговое объяснение: х-первое число,   у- второе число.

Отношение равно 59, значит,  =59

разность равна  0,64, значит, х-у=0,64

  Имеем систему уравнений

                         х=59у                   х=59у

 х-у=0,64                     х-у=0,64               59у-у=0,64

       

                                                     58у=0,64  

                                                       у=0,64:58

                                                        у=8/725

                                             х=8/725  "  59=472/725 (знак    "  - это умножение)

В  первом, втором и третьем столбике сделайте знак системы

Пошаговое объяснение:

наверно правильно

4,4(66 оценок)
Ответ:
1)Играть в баскетбол начали зимой 1891-1892 гг. в городе Спрингфилд в штате Массачусетс на северо востоке США.
2)Впервые в России в баскетбол начали играть в 1906 г. В это время в Санкт-Петербурге  существовало спортивное общество "Маяк"
3)Та,которая первой коснулась пола при остановке.Если останавливаешься в прыжке и обе ноги коснулись пола то они обе опорные.
4)Когда игрок получает контроль над "живым" мячом на площадке попытка броска по корзине должна быть реализована его командой в течении 30 секунд
4,4(48 оценок)
logo
Вход Регистрация
Что ты хочешь узнать?
Спроси Mozg
Открыть лучший ответ