М
Молодежь
К
Компьютеры-и-электроника
Д
Дом-и-сад
С
Стиль-и-уход-за-собой
П
Праздники-и-традиции
Т
Транспорт
П
Путешествия
С
Семейная-жизнь
Ф
Философия-и-религия
Б
Без категории
М
Мир-работы
Х
Хобби-и-рукоделие
И
Искусство-и-развлечения
В
Взаимоотношения
З
Здоровье
К
Кулинария-и-гостеприимство
Ф
Финансы-и-бизнес
П
Питомцы-и-животные
О
Образование
О
Образование-и-коммуникации
Nagachika
Nagachika
19.03.2022 10:36 •  Математика

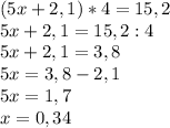
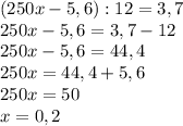
(250х-5,6): 12=3,7 (5х+2,1)*4=15,2 решите !

👇
Ответ:
880055553555
880055553555
19.03.2022
(250x-5,6):12=3,7 \\ 250x-5,6=3,7-12 \\ 250x-5,6=44,4 \\ 250x=44,4+5,6 \\ 250x=50 \\ x=0,2

(5x+2,1)*4=15,2 \\ 5x+2,1=15,2:4 \\ 5x+2,1=3,8 \\ 5x=3,8-2,1 \\ 5x=1,7 \\ x=0,34
4,8(27 оценок)
Открыть все ответы
Ответ:
ewgexaymnik
ewgexaymnik
19.03.2022
Краткая запись:
1 рулон = 12 м - ? тенге.
2 рулон = 17 м - (? + 3750) тенге.

Вопрос:
Сколько соти каждый рулон ткани?

Решение:
1) 17 - 12 = 5 (м) - на столько второй рулон больше первого
2) 5 метров стоят 3750 тенге
3750 : 5 = 750 (тенге) - столько стоит 1 метр ткани.
3) 750 * 12 = 9000 (тенге) - стоит первый рулон.
4)
1 вариант: 9000 + 3750 = 12750 (тенге) - стоит второй рулон.
2 вариант: 750 * 17 = 12750 (тенге) - стоит второй рулон.

ответ: за первый рулон нужно заплатить 9000 тенге, а за второй - 12750 тенге.
4,4(39 оценок)
Ответ:
46788643
46788643
19.03.2022
Краткая запись:
1 рулон = 12 м - ? тенге.
2 рулон = 17 м - (? + 3750) тенге.

Вопрос:
Сколько соти каждый рулон ткани?

Решение:
1) 17 - 12 = 5 (м) - на столько второй рулон больше первого
2) 5 метров стоят 3750 тенге
3750 : 5 = 750 (тенге) - столько стоит 1 метр ткани.
3) 750 * 12 = 9000 (тенге) - стоит первый рулон.
4)
1 вариант: 9000 + 3750 = 12750 (тенге) - стоит второй рулон.
2 вариант: 750 * 17 = 12750 (тенге) - стоит второй рулон.

ответ: за первый рулон нужно заплатить 9000 тенге, а за второй - 12750 тенге.
4,8(17 оценок)
Новые ответы от MOGZ: Математика
logo
Вход Регистрация
Что ты хочешь узнать?
Спроси Mozg
Открыть лучший ответ