М
Молодежь
К
Компьютеры-и-электроника
Д
Дом-и-сад
С
Стиль-и-уход-за-собой
П
Праздники-и-традиции
Т
Транспорт
П
Путешествия
С
Семейная-жизнь
Ф
Философия-и-религия
Б
Без категории
М
Мир-работы
Х
Хобби-и-рукоделие
И
Искусство-и-развлечения
В
Взаимоотношения
З
Здоровье
К
Кулинария-и-гостеприимство
Ф
Финансы-и-бизнес
П
Питомцы-и-животные
О
Образование
О
Образование-и-коммуникации
angel020580
angel020580
30.03.2020 00:55 •  Математика

Решить уравнение с корнем корень x^2+4x-3=3

👇
Ответ:
ерен1
ерен1
30.03.2020
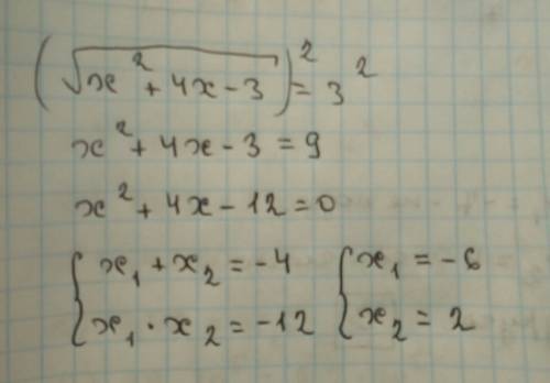
√(х² + 4х - 3) = 3,
(√(х² + 4х - 3))² = 3²,
х² + 4х - 3 = 9,
х² + 4х - 12 = 0,
Д = 4² - 4*1*(-12) = 16 + 48 = 64,
х1 = (-4 + 8)/2*1 = 2,
х1 = (-4 - 8)/2*1 = -6
4,4(4 оценок)
Ответ:
nastyabel72
nastyabel72
30.03.2020
Фоточка тебе в
Решить уравнение с корнем корень x^2+4x-3=3
4,8(67 оценок)
Открыть все ответы
Ответ:
tanyagag
tanyagag
30.03.2020

1 вариант

Ингредиенты манной запеканки:

Манная крупа – полстакана Молоко – два с половиной стакана Сахар – две третьи стакана Яблоки – 3 шт. 3 яйца Молотые сухари – 2 ст. ложки Сливочное масло – 60 г Соль по вкусу

Приготовление запеканки из манки: Сварить на молоке густую манную кашу. Яблоки помыть, почистить и нарезать дольками. В кашу добавить растертые с сахаром яичные желтки и взбитые белки. Половину каши выложить в форму, смазанную маслом и посыпанную сухарями. Затем выложить яблоки, сверху – остатки каши. Посыпать все сверху сахаром и выпекать в духовке до готовности.

 Можно изпользовать просто молоко!

 

 

 

2 вариант

Вам потребуется для блюда:

4 перепелиных яйца 200г. творога 1 ч. л муки 1 ч.л. лимонного сока 1 ст.л сахара (лучше коричневого) сливочное масло для смазки

 

 

4,6(60 оценок)
Ответ:
alinkaaa888
alinkaaa888
30.03.2020

Ряд функциональный и степенной. Для нахождения области сходимости надо использовать признак Даламбера и найти предел (Прямые скобки обозначают модуль):

 

lim  = |((n+1)x^(n+2)/(2^(n+1))/(nx^(n+1)/2^n)| = lim |((n+1)x^(n+2)*2^n)/(nx^(n+1)*2^(n+1))| =

x->+∞                                                                           x->+∞

 

=lim |((n+1)*(x^n)*(x^2)*(2^n))/(n*(x^n)*x*(2^n)*2)| = lim |(n+1)*x/2n| = |x|/2*lim (n+1)/n = 

  x->+∞                                                                 x->+∞                                x->+∞

 

= |x|/2*1 = |x|/2

 

Теперь нужно решить неравенство

|x|/2<1

-1<x/2<1

-2<x<2 - область сходимости.

 

4,8(52 оценок)
Новые ответы от MOGZ: Математика
logo
Вход Регистрация
Что ты хочешь узнать?
Спроси Mozg
Открыть лучший ответ