М
Молодежь
К
Компьютеры-и-электроника
Д
Дом-и-сад
С
Стиль-и-уход-за-собой
П
Праздники-и-традиции
Т
Транспорт
П
Путешествия
С
Семейная-жизнь
Ф
Философия-и-религия
Б
Без категории
М
Мир-работы
Х
Хобби-и-рукоделие
И
Искусство-и-развлечения
В
Взаимоотношения
З
Здоровье
К
Кулинария-и-гостеприимство
Ф
Финансы-и-бизнес
П
Питомцы-и-животные
О
Образование
О
Образование-и-коммуникации
зайка583
зайка583
25.11.2021 05:52 •  Математика

Вычислите интеграл l (2x-3)^1/2 dx на отрезке [0,6]

👇
Ответ:
ayskamaska
ayskamaska
25.11.2021
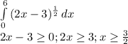
\int\limits^6_0 { (2x-3)^{ \frac{1}{2} } } \, dx \\ 2x-3 \geq 0; 2x \geq 3;x \geq \frac{3}{2}
Для того чтобы определенный интеграл с границами интегрирования от a до b, где a<b существовал необходимо чтобы подинтегральная функция была определена во всех точках открытого интервала ]a,b[. В задании это условие нарушено⇒
\int\limits^6_0 { (2x-3)^{ \frac{1}{2} } } \, dx≡∅
4,6(49 оценок)
Открыть все ответы
Ответ:
Kismos2006
Kismos2006
25.11.2021
340. а) На рисунке 42 с пимищно циркуля Ний/ите точки М(а + Ь) и N(a - Ь).0_1_ОБАРис 42б) ОбЪииНИхе по рииунку 43 СМыиЛ СОЧетатеДЬНО! и .ЪОЙС*ва .Лижения+ Ь    +t+ (с + с)Рис 43в) Объясните с рисунков остальные своиствг сложения и вычитания.341.    Из свойств сложения следует:56 + х + 14 =* х -г 56 + 14 = х + (56 + 14; = х -f- 70.По этому образцу упростите выражение:а)    23 + 49 + т; в) х + 54 + 27;б)    38 + п + 27; г) 176 + у + 24.342.    Найдите значение выражения, предварительно упростив его:а)    28 + т + 72 при m = 87; ь) 228 + k + 272 при h = 48.б)    п + 49 + 151 при п = 63; г) 349 -г р + 461 при р = 115.343.    Из свойств вычитания следует;28 - (15 + с) = 28 - 15 - с = 13 - с а - 64 - 26 = а - (64 -1 26) = а - 90.Какое свойство вычитания применено е этих примера} ?Используя это свойство вычитания, упростите выражение:а) 35 - (18 + у); б) т - 128 - 472.344.    Из свойств сложения и вычитания следует:137 - с - 27 = 137 - (с + 27) = 137 - (27 + с) == 137 - 27 - с = 110 - с.Какие свойства сложения и вычитания применены в этом примере? Используя эти свойства, упростите выражение:а)    168 - (х + 47);б)    384 - т - 137.
4,5(79 оценок)
Ответ:
Maria325784
Maria325784
25.11.2021

ответ:

f(x) = -x^3+3x^2

1) область определения:

d(f): x принадлежит   

2) четность/нечетность:

f(-x) = x^3+3x^2    - не является четной и нечетной

3) непрерывность:

функция непрерывна на всей области определения. 

4) точки пересечения с осями координат:

ox: y=0   a(0,0), b(3,0)

oy: x=0 c(0,0) 

5) асимптоты:

горизонтальная:     нет

наклонная:   y = kx+b,    - нет

  вертикальная: нет, т.к. нет точек разрыва

6) экстремум:

f'(x) = -3x^2+6x = -3x(x-2)

f'(x) = 0 при x = 0 или x = 2

  -         +                 - 

..>  

      0               2                     x

x=0 - точка минимума f(0) = 0 - наименьшее значение

x = 2 - точка максимума f(2) = 4 - наибольшее значение 

7) выпуклость:

f''(x) = -6x+6

f''(x) = 0 при x = 1

      +             - 

.> x

                1

при х    график функции имеет выпуклость вниз,

при х    - вверх

4,4(48 оценок)
Это интересно:
Новые ответы от MOGZ: Математика
logo
Вход Регистрация
Что ты хочешь узнать?
Спроси Mozg
Открыть лучший ответ