М
Молодежь
К
Компьютеры-и-электроника
Д
Дом-и-сад
С
Стиль-и-уход-за-собой
П
Праздники-и-традиции
Т
Транспорт
П
Путешествия
С
Семейная-жизнь
Ф
Философия-и-религия
Б
Без категории
М
Мир-работы
Х
Хобби-и-рукоделие
И
Искусство-и-развлечения
В
Взаимоотношения
З
Здоровье
К
Кулинария-и-гостеприимство
Ф
Финансы-и-бизнес
П
Питомцы-и-животные
О
Образование
О
Образование-и-коммуникации
StarBoy12ewq
StarBoy12ewq
17.11.2020 04:56 •  Математика

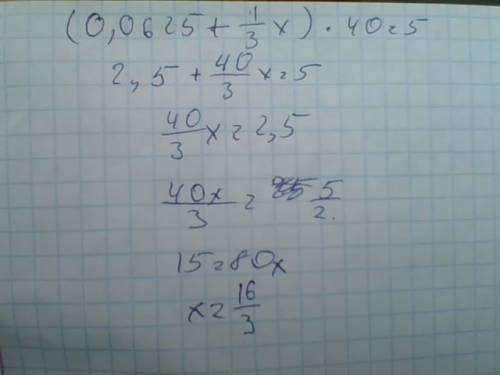
Решите уравнение (0,0625+1/3•х)•40=5 заранее

👇
Ответ:
sasha235sasha
sasha235sasha
17.11.2020
Внизу прикреплено решение уравнения
Решите уравнение (0,0625+1/3•х)•40=5 заранее
4,4(5 оценок)
Ответ:
новичок625
новичок625
17.11.2020
0,0625=1/16

1/16+ 1/3 x = 5/40

1/16+1/3 x = 1/8

1/3x= 1/8 -1/16

1/3 x = 1/16

x=1/16 * 3

x=3/16
4,8(29 оценок)
Открыть все ответы
Ответ:
степан169
степан169
17.11.2020

Есть на свете удивительные фонтаны, они действуют сами по себе, без участия человека. Вода в них горячая — кипяток. Бьют они прямо из-под земли на десятки метров вверх. Это гейзеры.

Их можно увидеть в нашей стране на Камчатке, в Исландии, в Новой Зеландии, в США — в Йеллоустонском национальном парке, в Японии. От названия местечка Гейзер в Исландии, где били горячие фонтаны возник термин «гейзер».

Гейзеры могут иметь вид небольших усеченных конусов с крутыми склонами, чашеобразных углублений, котловинок, низких, очень пологих куполов, различной формы ям. Гейзеры всегда соседствуют с вулканами — либо действующими, либо недавно потухшими. От выделяющихся из магмы раскаленных паров и газов подземные воды нагреваются и горячим фонтаном или источником выходят на поверхность. Извергаются гейзеры каждый по-своему, через определенные промежутки времени, с различной силой. Один гейзер на Камчатке «работает» каждые четыре минуты, его так и назвали — Часы. А Старый Служака Иеллоустонского парка бьет каждый час. Неустанный — каждые полминуты, хоть часы проверяй! Большой Гейзер Исландии извергается лишь раз в сутки, зато фонтаном его можно любоваться три часа подряд.

Извержение кончается — и все стихает, будто ничего и не было. А потом вода снова начинает бурлить, клокотать, пока не произойдет новое извержение. Самый большой гейзер на Камчатке выбрасывает струю воды на высоту 40 м и облака пара на высоту несколько сотен метров.

Красиво и само извержение, красиво и все вокруг от натеков разноцветного гейзерита — отложений кремнезема, который выделяется из кипятка гейзера. Гейзерит окрашен в разные цвета — розовый, серовато-желтый, коричневый. Раньше горячая вода гейзеров пропадала понапрасну, а теперь ею отапливают дома, теплицы, плавательные бассейны.

Не все гейзеры «долгожители». Например, гейзер Ваймангу в Новой Зеландии действовал только шесть лет. Зато он установил мировой рекорд по водометанию: при каждом извержении выбрасывал 800 т воды на 460 м вверх.

4,7(7 оценок)
Ответ:
NosoK535
NosoK535
17.11.2020
2 кости могут выпасть с суммами:
2 = 1 + 1 - в 1 случае
3 = 1 + 2 = 2 + 1 - в 2 случаях
4 = 1 + 3 = 2 + 2 = 3 + 1 - в 3 случаях
5 = 1 + 4 = 2 + 3 = 3 + 2 = 4 + 1 - в 4 случаях
6 = 1 + 5 = 2 + 4 = 3 + 3 = 4 + 2 = 5 + 1 - в 5 случаях
7 = 1 + 6 = 2 + 5 = 3 + 4 = 4 + 3 = 5 + 2 = 6 + 1 - в 6 случаях
8 = 2 + 6 = 3 + 5 = 4 + 4 = 5 + 3 = 6 + 2 - в 5 случаях
9 = 3 + 6 = 4 + 5 = 5 + 4 = 6 + 3 - в 4 случаях
10 = 4 + 6 = 5 + 5 = 6 + 4 - в 3 случаях
11 = 5 + 6 = 6 + 5 - в 2 случаях
12 = 6 + 6 - в 1 случае
Всего 36 случаев, из них в 1 + 2 + 3 + 4 + 5 + 6 + 5 + 4 = 30 случаях сумма меньше или равна 11
 
Вероятность равна Р = 30/36 = 5/6
4,4(51 оценок)
Это интересно:
Новые ответы от MOGZ: Математика
logo
Вход Регистрация
Что ты хочешь узнать?
Спроси Mozg
Открыть лучший ответ