Вход
Регистрация
Спроси Mozg AI
М
Молодежь
К
Компьютеры-и-электроника
Д
Дом-и-сад
С
Стиль-и-уход-за-собой
П
Праздники-и-традиции
Т
Транспорт
П
Путешествия
С
Семейная-жизнь
Ф
Философия-и-религия
Б
Без категории
М
Мир-работы
Х
Хобби-и-рукоделие
И
Искусство-и-развлечения
В
Взаимоотношения
З
Здоровье
К
Кулинария-и-гостеприимство
Ф
Финансы-и-бизнес
П
Питомцы-и-животные
О
Образование
О
Образование-и-коммуникации
.....больше.....
..меньше..
Алина06072003
30.08.2022 09:35 •
Математика
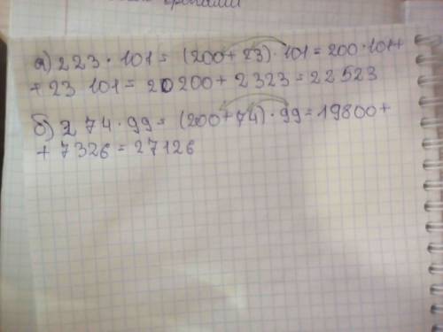
Найдите значение выражение, используя распределительных закон умножения: а)223•101 б)274•99
👇
Увидеть ответ
Ответ:
romantik17lol
30.08.2022
Вот решение, всё на фотографии
4,4
(17 оценок)
Открыть все ответы
Ответ:
sasockolowa
30.08.2022
Петя=1раз в 3 дня. Вася= 1раз в 4 дня; Коля=1 раз в 5 дней; Все вместе день=?
Надо найти кратные каждого числа. Кратное это число что нацело делится на данное число. Ищем его просто умножаем 3•1=3; 3•2=6; 3•3=9;...
Кратные 3; --- 3; 6; 9; 12; 15; 18; 21; 24; 27; 30; 33; 36; 39; 42; 45; 48; 51; 54; 57; 60; 63; 66; 69
Кратные 4;--- 4; 8; 12; 16; 20; 24; 28; 32; 36; 40; 44; 48; 52; 56; 60; 64; 68; 72;..,
Кратные 5; --- 5; 10; 15; 20; 25; 30; 35; 40; 45; 50; 55; 60; 65; 70;
Смотрим все три и ищем одинаковое число; это число 60.
НОК(3;4;5)= 60.
Значит встретятся через 60 дней.
В неделе 7 дней; 60:7=8(ост 4) недель и 4 дня остаток;
Недели отбрасываем и остаток нужно добавить до понедельника, это первый день;
1+4=5 день недели; это пятница.
ответ: снова встретятся через 60 дней в пятницу
4,7
(2 оценок)
Ответ:
AKI20
30.08.2022
Петя=1раз в 3 дня. Вася= 1раз в 4 дня; Коля=1 раз в 5 дней; Все вместе день=?
Надо найти кратные каждого числа. Кратное это число что нацело делится на данное число. Ищем его просто умножаем 3•1=3; 3•2=6; 3•3=9;...
Кратные 3; --- 3; 6; 9; 12; 15; 18; 21; 24; 27; 30; 33; 36; 39; 42; 45; 48; 51; 54; 57; 60; 63; 66; 69
Кратные 4;--- 4; 8; 12; 16; 20; 24; 28; 32; 36; 40; 44; 48; 52; 56; 60; 64; 68; 72;..,
Кратные 5; --- 5; 10; 15; 20; 25; 30; 35; 40; 45; 50; 55; 60; 65; 70;
Смотрим все три и ищем одинаковое число; это число 60.
НОК(3;4;5)= 60.
Значит встретятся через 60 дней.
В неделе 7 дней; 60:7=8(ост 4) недель и 4 дня остаток;
Недели отбрасываем и остаток нужно добавить до понедельника, это первый день;
1+4=5 день недели; это пятница.
ответ: снова встретятся через 60 дней в пятницу
4,4
(98 оценок)
Это интересно:
К
Компьютеры-и-электроника
05.09.2020
Как использовать контроллер Xbox 360 вместе с Windows...
З
Здоровье
08.08.2020
8 советов по подготовке к приему к стоматологу: как не бояться и что вам нужно знать...
Ф
Финансы-и-бизнес
21.12.2022
Как выбрать и купить восстановленный деревянный стол...
К
Компьютеры-и-электроника
18.01.2021
Как правильно пинговать IP адрес: простой гайд для начинающих...
О
Образование-и-коммуникации
26.01.2022
Как написать сочинение Как я провел лето : советы и рекомендации...
Ф
Финансы-и-бизнес
12.06.2020
Как создать маркетинговый календарь: советы для бизнеса...
К
Кулинария-и-гостеприимство
14.01.2022
Как готовить подпаленную кукурузу на гриле: простой рецепт и полезные советы...
К
Компьютеры-и-электроника
28.07.2022
Как отправить видео: подробный гайд...
П
Питомцы-и-животные
10.07.2021
Как купать крысу: инструкция для любящих хозяев...
К
Кулинария-и-гостеприимство
07.04.2023
Отварная кукуруза в початках: легко и быстро...
Новые ответы от MOGZ: Математика
SvetLink
15.11.2022
Напишите в центнерах 1)125кг 2)13кг 3)5ц 12 кг 4) 9ц 8кг 5) 500 г 6) 13 г...
KatePie
15.11.2022
Решить неравенство 3х-2 / 2х-3( это дробь) 3...
sakulich05
15.11.2022
Прямая у=2х-1 параллельна касательной к графику функции у=х**2-х-2.найдите абциссу точки касания...
vika2075
15.11.2022
Какое из чисел равняеться корнем уравнения? 10х+4,5*(3,3-2,7)=3,672 1- 0,972 2- 0,0972 3- 9,72 4- 2,7 и пож напишите как решать...
hatidzemustafaeva
15.11.2022
Уменьшаемое -9 вычитаемое - 7 запиши разность чисел...
Xaler
15.11.2022
Lim n стремиться к бесконечности ( 5n^3+2n^2+1/ 5n^3-2n^2+1)^5n-1...
ykukharsp0dngs
15.11.2022
Найдите значение выражений(знак / обозначает дробь) 12-18/5: 24/25= 21/10: 7/22-5/22=...
NCTzen184
15.11.2022
На кануне женского дня 8 марта гена хочет зделать уборку в квартире. он составил список основных дел и указал время на них выполнение.. ему нужно. вытереть пыль 2 5 минут, в порядок...
тетямотя7
15.11.2022
Сад крафинь вишен занимает участок прямоугольной формы,окружённый живой изгородью. длинна участка 28м она на 12 метров больше ширины. найди длину всей изгороди....
kURGA
15.11.2022
Что за слово расшифруйте и сделайте правильное слово: омега космическое тело с хвостом? заранее : 3...
MOGZ ответил
Отметьте слово, состоящее из двух слогов карандаши трамвайчик вещь ковер автобус...
Многочлен 2(5k+7d)-1/3(12k-3d) к стандартному виду...
Вкакой стране землетрясение наименее вероятно чили. япония. италия. великобритания....
Запиши слово голов в начальной форме....
Чем таинственные острова так привлекали романистов? ? !...
Что является донором электронных пар в соединение k2[zn(oh)4]...
Периметр ромба равен 16 дм, а высота его - 2 дм. найдите величину тупого угла ромба....
Какие сходства и отличия в народной и авторской сказке? !...
Чем первобытный человек отличается от животного: умением говорить ,верой в божество,...
Максимум ! как называется обязательное поломничество в мекку? !...
Полный доступ к MOGZ
Живи умнее Безлимитный доступ к MOGZ
Оформи подписку
О НАС
О нас
Блог
Условия пользования
Авторское право
Политика конфиденциальности
Предпочтения cookie-файлов
ПОМОЩЬ
Зарегистрируйся
Центр помощи
Центр безопасности
App
Вход
Регистрация
Что ты хочешь узнать?
Спроси Mozg
Открыть лучший ответ
×